🇳🇴 🇬🇧 🇩🇪 🇨🇿 🇫🇮

Meteor Jarenin yllä 2025-04-26 01:18:40 UTC

KML-tiedosto  |  Interaktiivinen kartta

Kartta näyttää meteorin suuntahavainnot. Vaaleammat viivat näyttävät suunnat havaintoasemilta meteorin ilmestyessä, ja tummemmat viivat näyttävät, missä se viimeksi nähtiin. Sininen nuoli näyttää meteorin näkyvän lennon.

static map
height profile
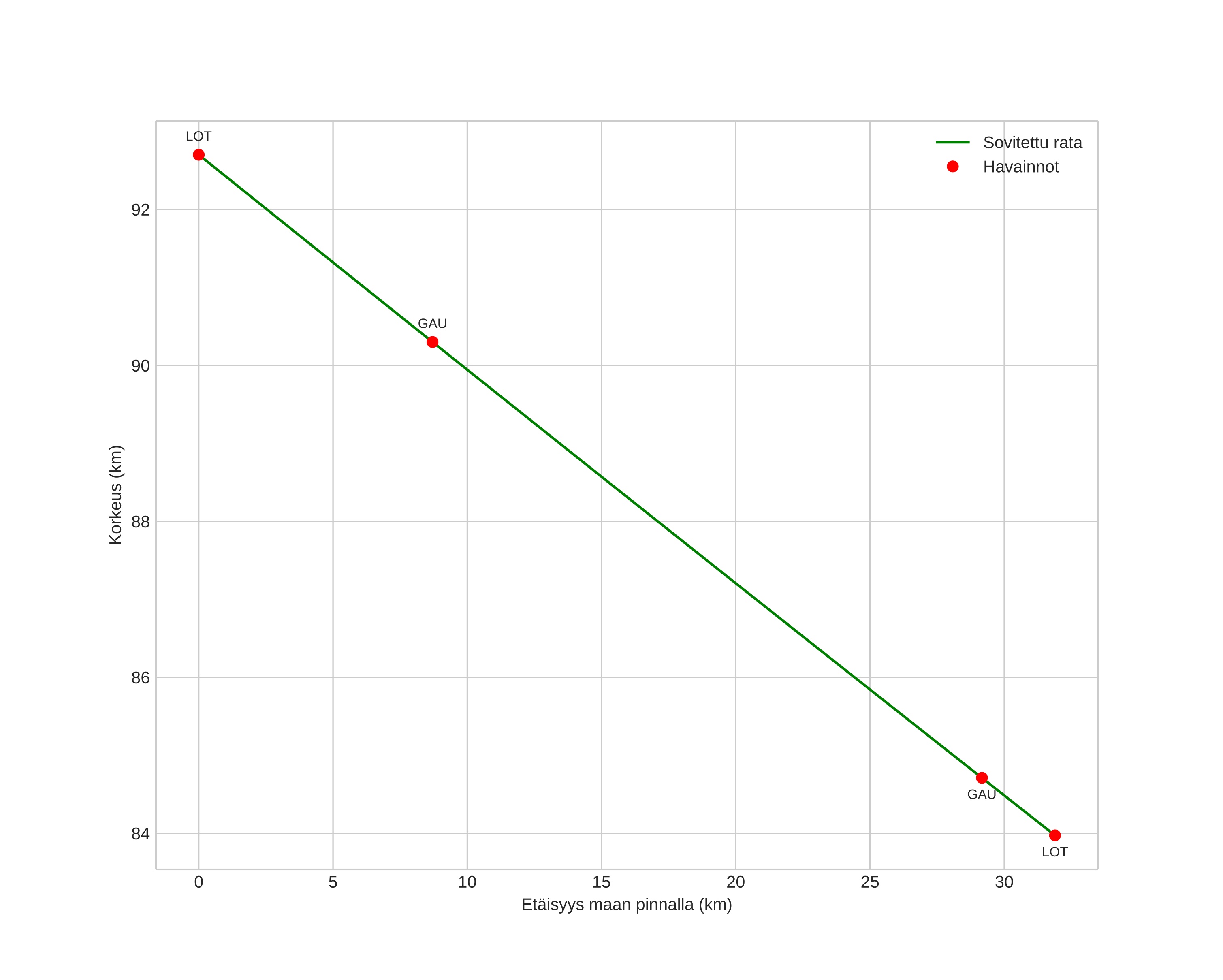
Meteorin ilmakehärata:
Alkukorkeus: 93,4 km
Loppukorkeus: 84,4 km
Alkupiste: 60,166N 10,435E
Loppupiste: 60,439N 10,633E
Suunta: 19,7°
Kallistuskulma: 15,6°
Tulonopeus: 31,4 km/s
Radiantin R,A,: 14:54 (223,6°)
Radiantin Dekl,: -15,3°
Meteoriparvi: Sporadinen
Meteoroidin rataelementit:
Perihelietäisyys: 0,370 AU
Eksentrisyys: 0,854
Inklinaatio: 1,6°
Nousevan solmun pituus: 35,8°
Perihelin argumentti: 291,8°
Keskianomalia: 349,6°
Epookki: 2025 APR 26 01:18:40
orbit plot

Ei-interaktiivinen kuvaaja | Interaktiivinen kuvaaja

position vs time
speed and acceleration