🇳🇴 🇬🇧 🇩🇪 🇨🇿 🇫🇮

Meteor über Jaren 2025-04-26 01:18:40 UTC

KML-Datei  |  Interaktive Karte

Die Karte zeigt die Peilungen für den Meteor. Die helleren Linien zeigen die Richtungen von den Beobachtungsorten beim Erscheinen des Meteors, und die dunkleren Linien, wo er zuletzt gesehen wurde. Der blaue Pfeil zeigt die sichtbare Bahn des Meteors.

static map
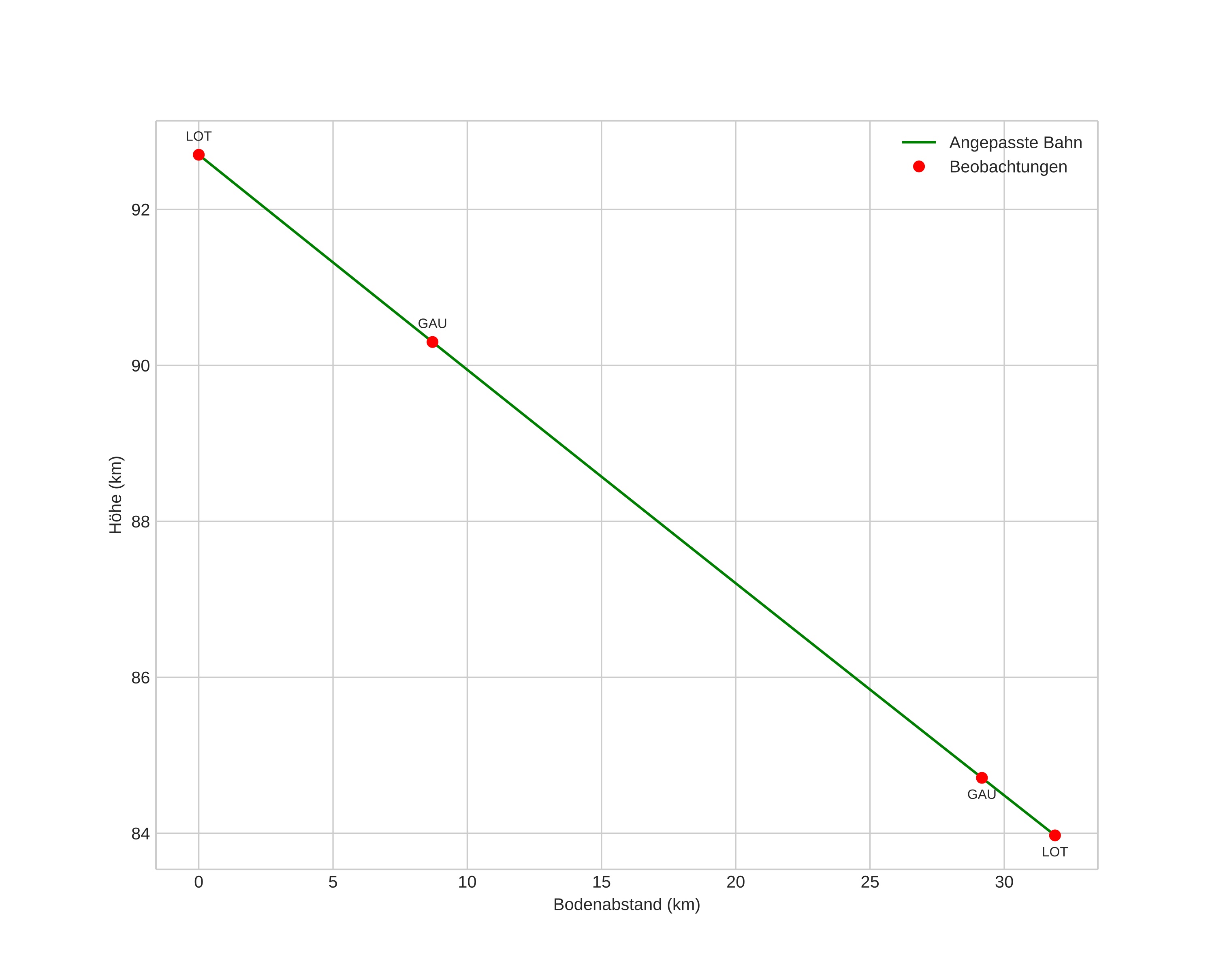
height profile
Atmosphärische Bahn des Meteors:
Anfangshöhe: 93,4 km
Endhöhe: 84,4 km
Startposition: 60,166N 10,435E
Endposition: 60,439N 10,633E
Richtung: 19,7°
Neigungswinkel: 15,6°
Eintrittsgeschwindigkeit: 31,4 km/s
Rektaszension des Radianten: 14:54 (223,6°)
Deklination des Radianten: -15,3°
Meteorstrom: sporadisch
Bahnelemente des Meteoroiden:
Periheldistanz: 0,370 AU
Exzentrizität: 0,854
Inklination: 1,6°
Länge des aufsteigenden Knotens: 35,8°
Argument des Perihels: 291,8°
Mittlere Anomalie: 349,6°
Epoche: 2025 APR 26 01:18:40
orbit plot

Nicht-interaktives Diagramm | Interaktives Diagramm

position vs time
speed and acceleration