🇳🇴 🇬🇧 🇩🇪 🇨🇿 🇫🇮

Meteor, poloha: Hyltebruk 2025-05-04 22:18:05 UTC

Soubor KML  |  InteraktivnĂ­ mapa

Mapa zobrazuje dráhy meteoru. Světlejší čáry ukazují směry od pozorovacích stanic při objevení se meteoru a tmavší čáry, kde byl naposledy viděn. Modrá šipka značí viditelnou dráhu meteoru.

static map
height profile
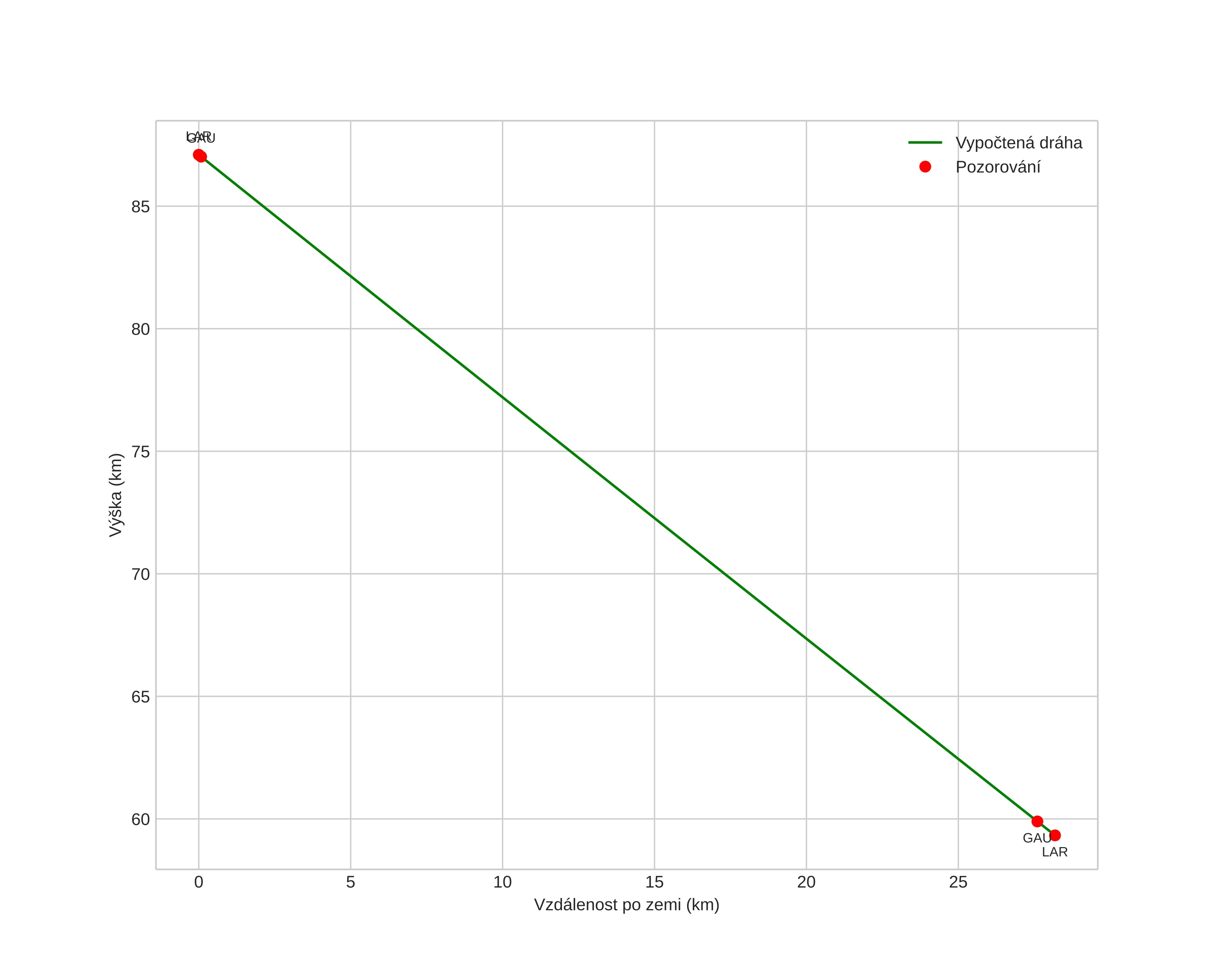
Atmosférická dráha meteoru:
Počáteční výška: 87,0 km
Konečná výška: 59,5 km
Počáteční poloha: 57,444N 13,226E
Konečná poloha: 57,189N 13,173E
Směr: 186,5°
Sklon: 43,9°
VstupnĂ­ rychlost: 27,2 km/s
Rektascenze radiantu: 00:58 (14,6°)
Deklinace radiantu: 73,8°
MeteorickĂ˝ roj: sporadickĂ˝
Elementy dráhy meteoroidu:
Vzdálenost v periheliu: 0,905 AU
Excentricita: 0,929
Sklon dráhy: 32,8°
Délka vzestupného uzlu: 44,3°
Argument perihelia: 141,9°
Střední anomálie: 0,6°
Epocha: 2025 MAY 04 22:18:05
orbit plot

NeinteraktivnĂ­ graf | InteraktivnĂ­ graf

position vs time
speed and acceleration