🇳🇴 🇬🇧 🇩🇪 🇨🇿 🇫🇮

Meteor über Hyltebruk 2025-05-04 22:18:05 UTC

KML-Datei  |  Interaktive Karte

Die Karte zeigt die Peilungen für den Meteor. Die helleren Linien zeigen die Richtungen von den Beobachtungsorten beim Erscheinen des Meteors, und die dunkleren Linien, wo er zuletzt gesehen wurde. Der blaue Pfeil zeigt die sichtbare Bahn des Meteors.

static map
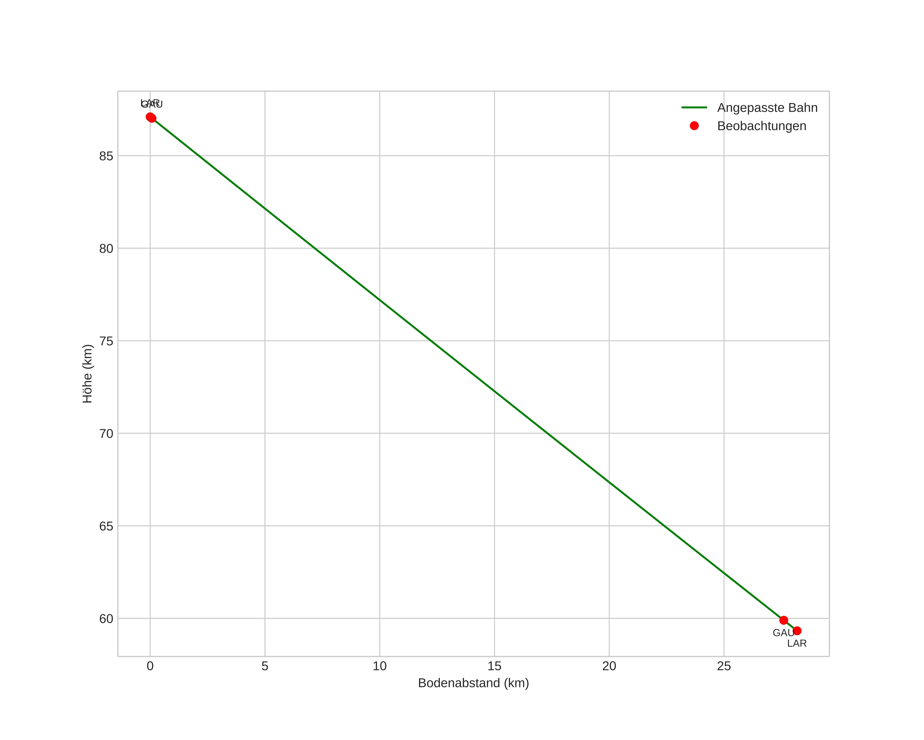
height profile
Atmosphärische Bahn des Meteors:
Anfangshöhe: 87,0 km
Endhöhe: 59,5 km
Startposition: 57,444N 13,226E
Endposition: 57,189N 13,173E
Richtung: 186,5°
Neigungswinkel: 43,9°
Eintrittsgeschwindigkeit: 27,2 km/s
Rektaszension des Radianten: 00:58 (14,6°)
Deklination des Radianten: 73,8°
Meteorstrom: sporadisch
Bahnelemente des Meteoroiden:
Periheldistanz: 0,905 AU
Exzentrizität: 0,929
Inklination: 32,8°
Länge des aufsteigenden Knotens: 44,3°
Argument des Perihels: 141,9°
Mittlere Anomalie: 0,6°
Epoche: 2025 MAY 04 22:18:05
orbit plot

Nicht-interaktives Diagramm | Interaktives Diagramm

position vs time
speed and acceleration