🇳🇴 🇬🇧 🇩🇪 🇨🇿 🇫🇮

Meteor Hyltebrukin yllä 2025-05-04 22:18:05 UTC

KML-tiedosto  |  Interaktiivinen kartta

Kartta näyttää meteorin suuntahavainnot. Vaaleammat viivat näyttävät suunnat havaintoasemilta meteorin ilmestyessä, ja tummemmat viivat näyttävät, missä se viimeksi nähtiin. Sininen nuoli näyttää meteorin näkyvän lennon.

static map
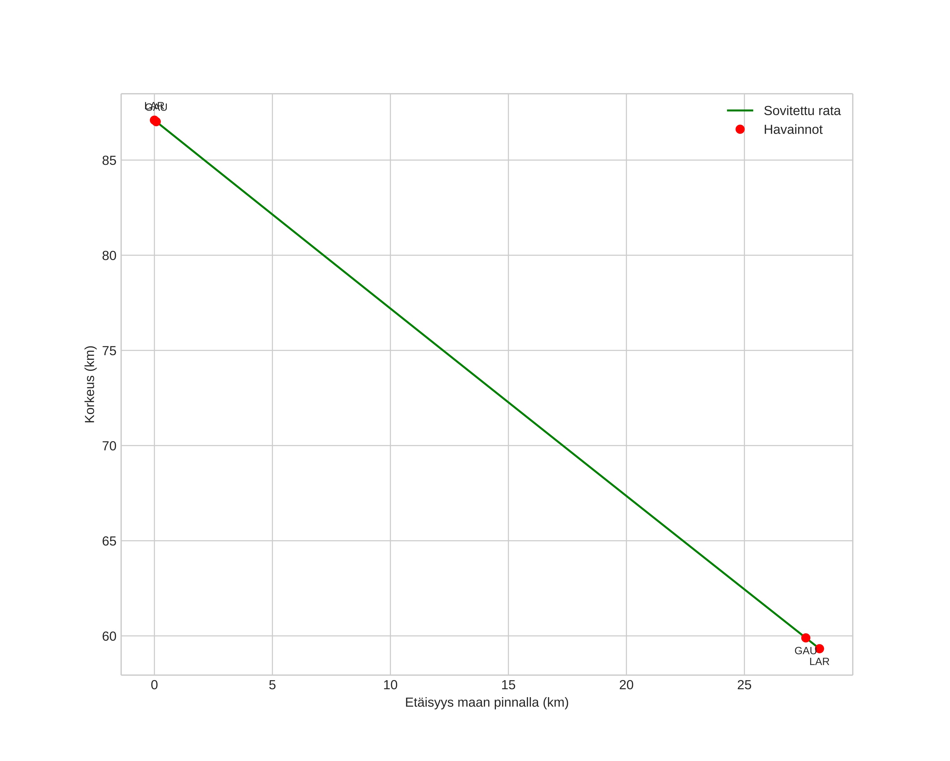
height profile
Meteorin ilmakehärata:
Alkukorkeus: 87,0 km
Loppukorkeus: 59,5 km
Alkupiste: 57,444N 13,226E
Loppupiste: 57,189N 13,173E
Suunta: 186,5°
Kallistuskulma: 43,9°
Tulonopeus: 27,2 km/s
Radiantin R,A,: 00:58 (14,6°)
Radiantin Dekl,: 73,8°
Meteoriparvi: Sporadinen
Meteoroidin rataelementit:
Perihelietäisyys: 0,905 AU
Eksentrisyys: 0,929
Inklinaatio: 32,8°
Nousevan solmun pituus: 44,3°
Perihelin argumentti: 141,9°
Keskianomalia: 0,6°
Epookki: 2025 MAY 04 22:18:05
orbit plot

Ei-interaktiivinen kuvaaja | Interaktiivinen kuvaaja

position vs time
speed and acceleration