🇳🇴 🇬🇧 🇩🇪 🇨🇿 🇫🇮

Meteor, poloha: Flisa 2025-05-05 00:34:05 UTC

Soubor KML  |  InteraktivnĂ­ mapa

Mapa zobrazuje dráhy meteoru. Světlejší čáry ukazují směry od pozorovacích stanic při objevení se meteoru a tmavší čáry, kde byl naposledy viděn. Modrá šipka značí viditelnou dráhu meteoru.

static map
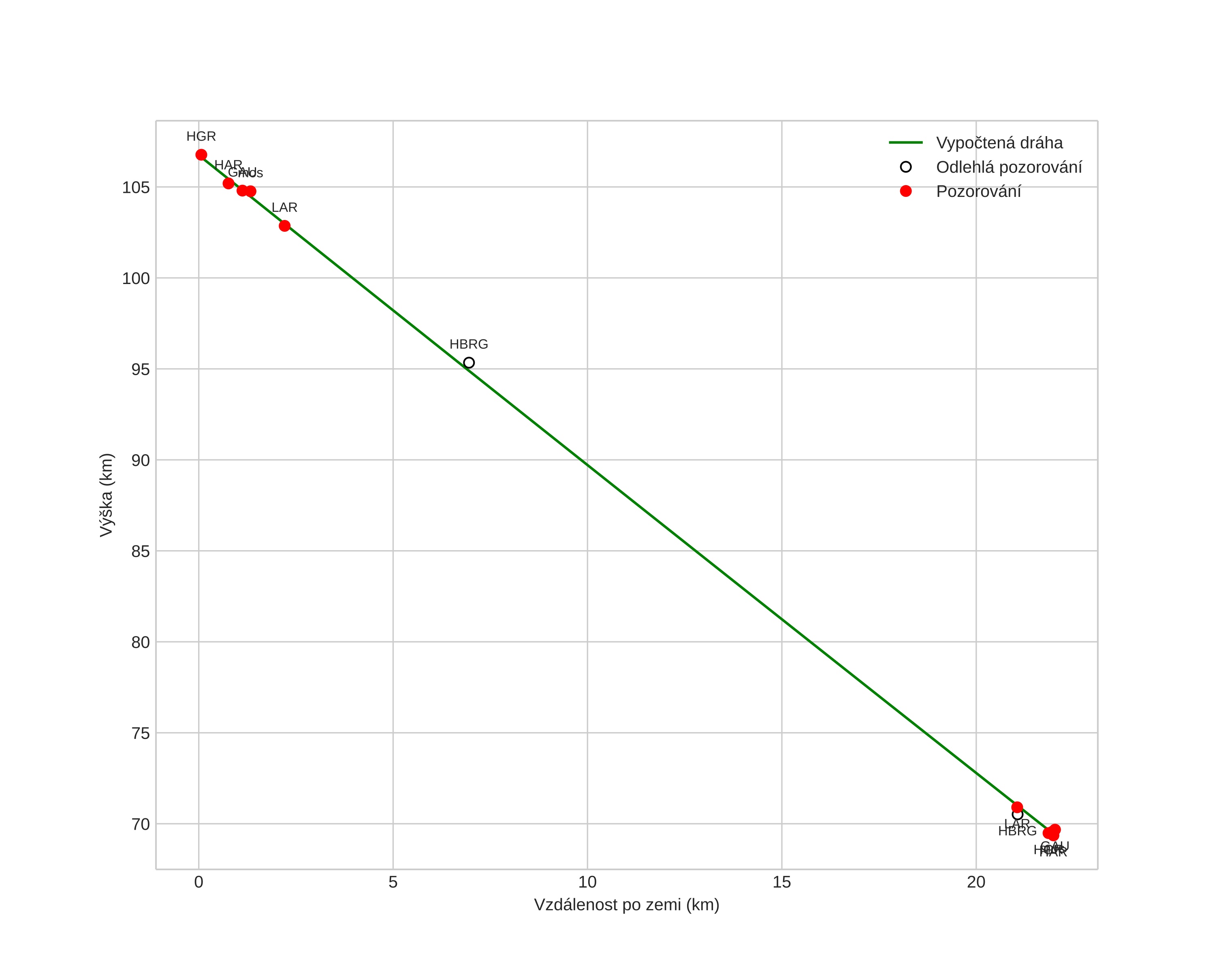
height profile
Atmosférická dráha meteoru:
Počáteční výška: 107,9 km
Konečná výška: 68,8 km
Počáteční poloha: 60,674N 12,999E
Konečná poloha: 60,736N 12,591E
Směr: 287,4°
Sklon: 59,3°
VstupnĂ­ rychlost: 45,0 km/s
Rektascenze radiantu: 19:02 (285,7°)
Deklinace radiantu: 42,0°
Meteorický roj: Éta Lyridy
Elementy dráhy meteoroidu:
Vzdálenost v periheliu: 0,992 AU
Excentricita: 0,912
Sklon dráhy: 73,9°
Délka vzestupného uzlu: 44,4°
Argument perihelia: 195,2°
Střední anomálie: 359,7°
Epocha: 2025 MAY 05 00:34:05
orbit plot

NeinteraktivnĂ­ graf | InteraktivnĂ­ graf

position vs time
speed and acceleration