🇳🇴 🇬🇧 🇩🇪 🇨🇿 🇫🇮

Meteor Flisan yllä 2025-05-05 00:34:05 UTC

KML-tiedosto  |  Interaktiivinen kartta

Kartta näyttää meteorin suuntahavainnot. Vaaleammat viivat näyttävät suunnat havaintoasemilta meteorin ilmestyessä, ja tummemmat viivat näyttävät, missä se viimeksi nähtiin. Sininen nuoli näyttää meteorin näkyvän lennon.

static map
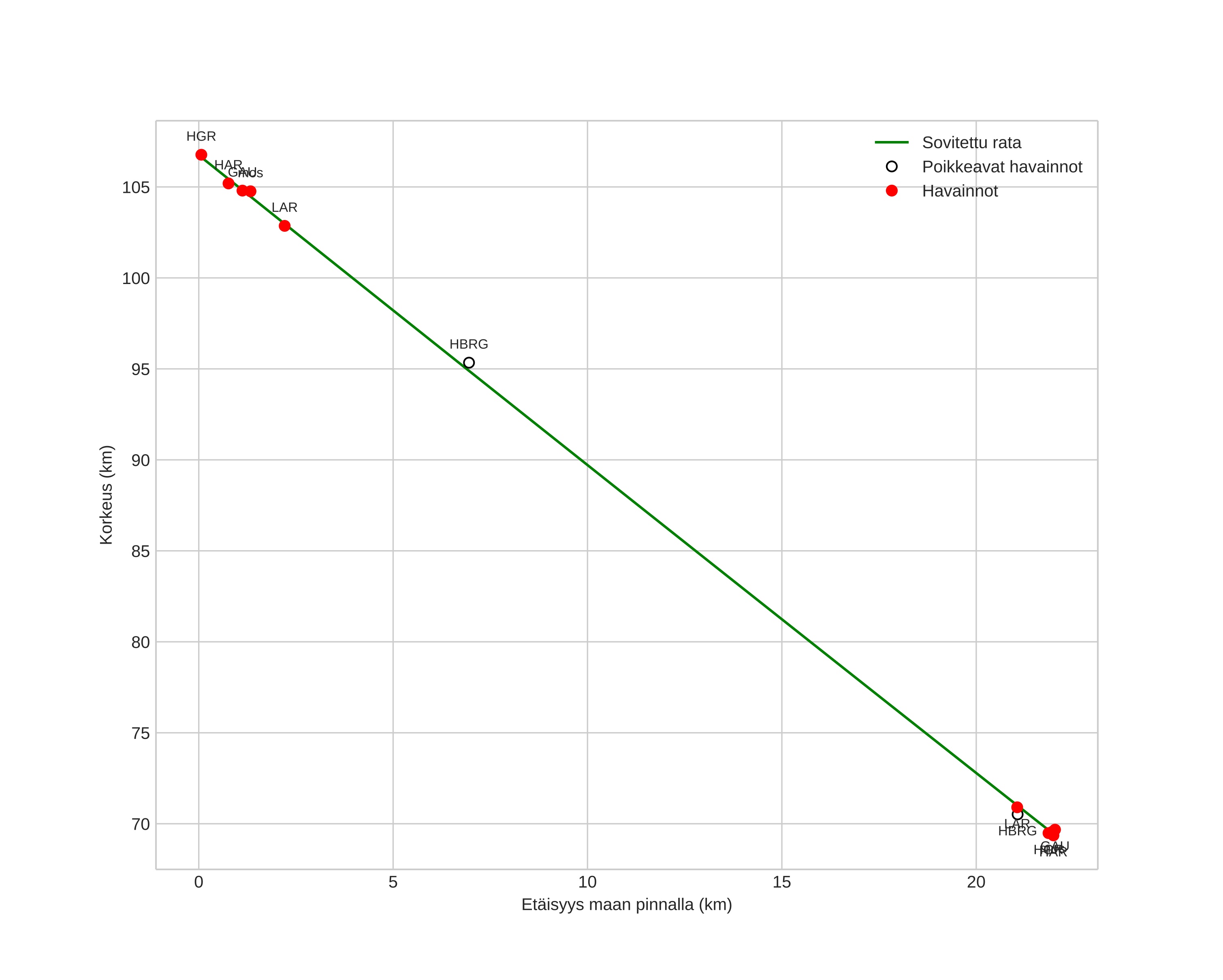
height profile
Meteorin ilmakehärata:
Alkukorkeus: 107,9 km
Loppukorkeus: 68,8 km
Alkupiste: 60,674N 12,999E
Loppupiste: 60,736N 12,591E
Suunta: 287,4°
Kallistuskulma: 59,3°
Tulonopeus: 45,0 km/s
Radiantin R,A,: 19:02 (285,7°)
Radiantin Dekl,: 42,0°
Meteoriparvi: Eta-lyridit
Meteoroidin rataelementit:
Perihelietäisyys: 0,992 AU
Eksentrisyys: 0,912
Inklinaatio: 73,9°
Nousevan solmun pituus: 44,4°
Perihelin argumentti: 195,2°
Keskianomalia: 359,7°
Epookki: 2025 MAY 05 00:34:05
orbit plot

Ei-interaktiivinen kuvaaja | Interaktiivinen kuvaaja

position vs time
speed and acceleration