🇳🇴 🇬🇧 🇩🇪 🇨🇿 🇫🇮

Meteor über Flisa 2025-05-05 00:34:05 UTC

KML-Datei  |  Interaktive Karte

Die Karte zeigt die Peilungen für den Meteor. Die helleren Linien zeigen die Richtungen von den Beobachtungsorten beim Erscheinen des Meteors, und die dunkleren Linien, wo er zuletzt gesehen wurde. Der blaue Pfeil zeigt die sichtbare Bahn des Meteors.

static map
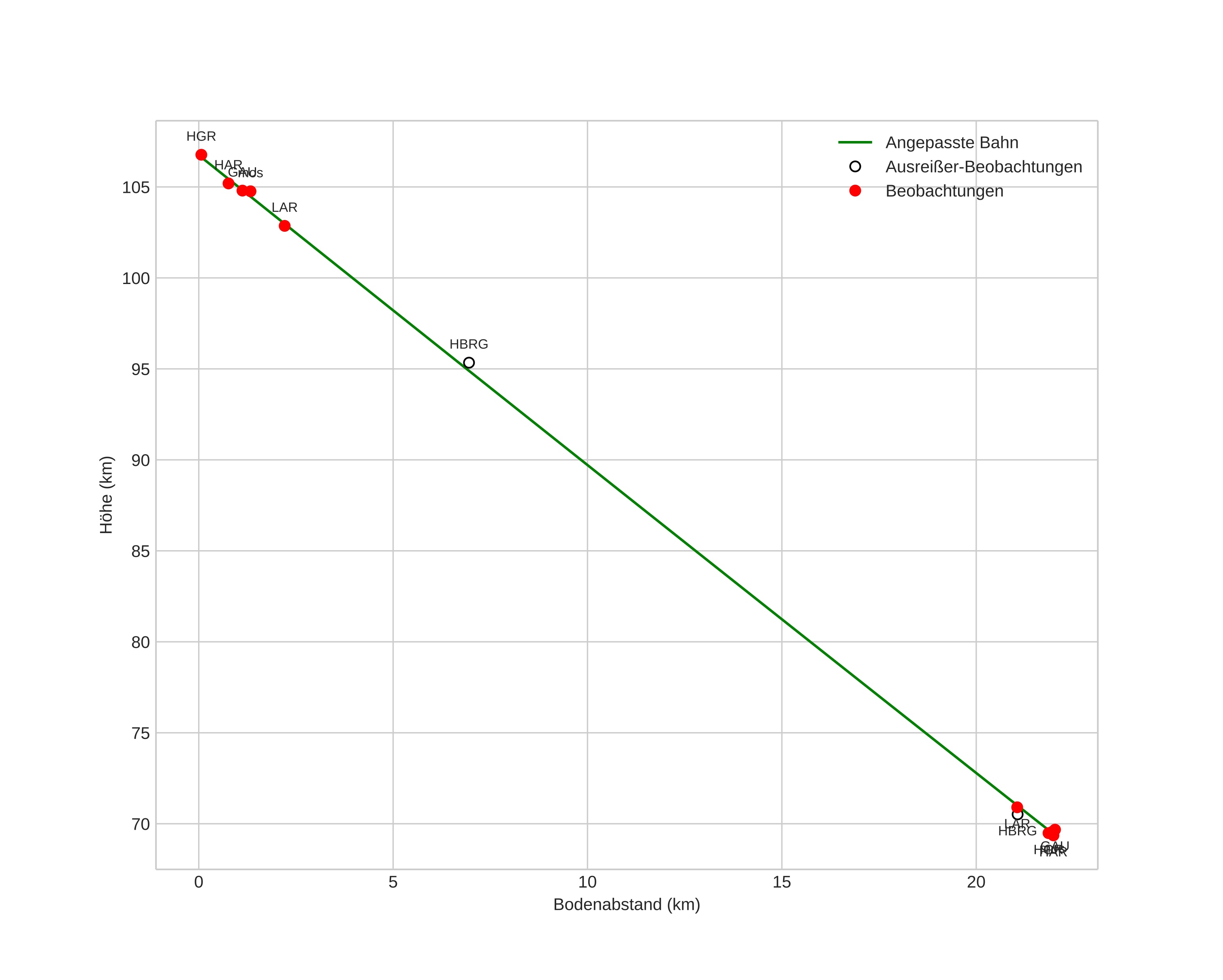
height profile
Atmosphärische Bahn des Meteors:
Anfangshöhe: 107,9 km
Endhöhe: 68,8 km
Startposition: 60,674N 12,999E
Endposition: 60,736N 12,591E
Richtung: 287,4°
Neigungswinkel: 59,3°
Eintrittsgeschwindigkeit: 45,0 km/s
Rektaszension des Radianten: 19:02 (285,7°)
Deklination des Radianten: 42,0°
Meteorstrom: Eta-Lyriden
Bahnelemente des Meteoroiden:
Periheldistanz: 0,992 AU
Exzentrizität: 0,912
Inklination: 73,9°
Länge des aufsteigenden Knotens: 44,4°
Argument des Perihels: 195,2°
Mittlere Anomalie: 359,7°
Epoche: 2025 MAY 05 00:34:05
orbit plot

Nicht-interaktives Diagramm | Interaktives Diagramm

position vs time
speed and acceleration