🇳🇴 🇬🇧 🇩🇪 🇨🇿 🇫🇮

Meteor, poloha: Tjøme 2025-07-29 00:01:46 UTC

Soubor KML  |  InteraktivnĂ­ mapa

Mapa zobrazuje dráhy meteoru. Světlejší čáry ukazují směry od pozorovacích stanic při objevení se meteoru a tmavší čáry, kde byl naposledy viděn. Modrá šipka značí viditelnou dráhu meteoru.

static map
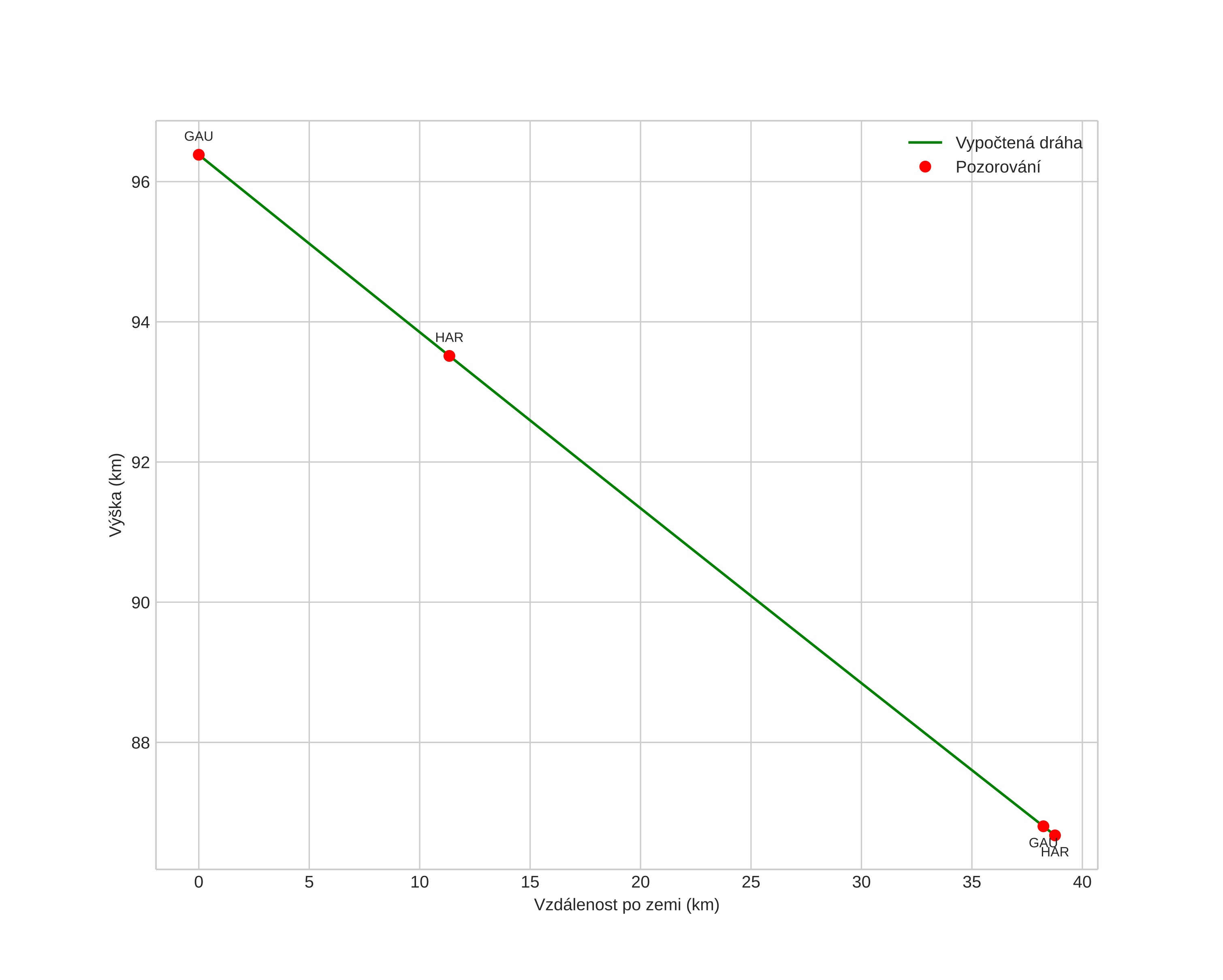
height profile
Atmosférická dráha meteoru:
Počáteční výška: 97,2 km
Konečná výška: 86,6 km
Počáteční poloha: 58,808N 10,619E
Konečná poloha: 59,156N 10,377E
Směr: 340,4°
Sklon: 14,5°
VstupnĂ­ rychlost: 43,4 km/s
Rektascenze radiantu: 22:28 (337,2°)
Deklinace radiantu: -16,6°
MeteorickĂ˝ roj: JiĹľnĂ­ Delta Akvaridy
Elementy dráhy meteoroidu:
Vzdálenost v periheliu: 0,078 AU
Excentricita: 0,980
Sklon dráhy: 24,6°
Délka vzestupného uzlu: 305,8°
Argument perihelia: 149,8°
Střední anomálie: 355,9°
Epocha: 2025 JUL 29 00:01:46
orbit plot

NeinteraktivnĂ­ graf | InteraktivnĂ­ graf

position vs time
speed and acceleration