🇳🇴 🇬🇧 🇩🇪 🇨🇿 🇫🇮

Meteor Tjømen yllä 2025-07-29 00:01:46 UTC

KML-tiedosto  |  Interaktiivinen kartta

Kartta näyttää meteorin suuntahavainnot. Vaaleammat viivat näyttävät suunnat havaintoasemilta meteorin ilmestyessä, ja tummemmat viivat näyttävät, missä se viimeksi nähtiin. Sininen nuoli näyttää meteorin näkyvän lennon.

static map
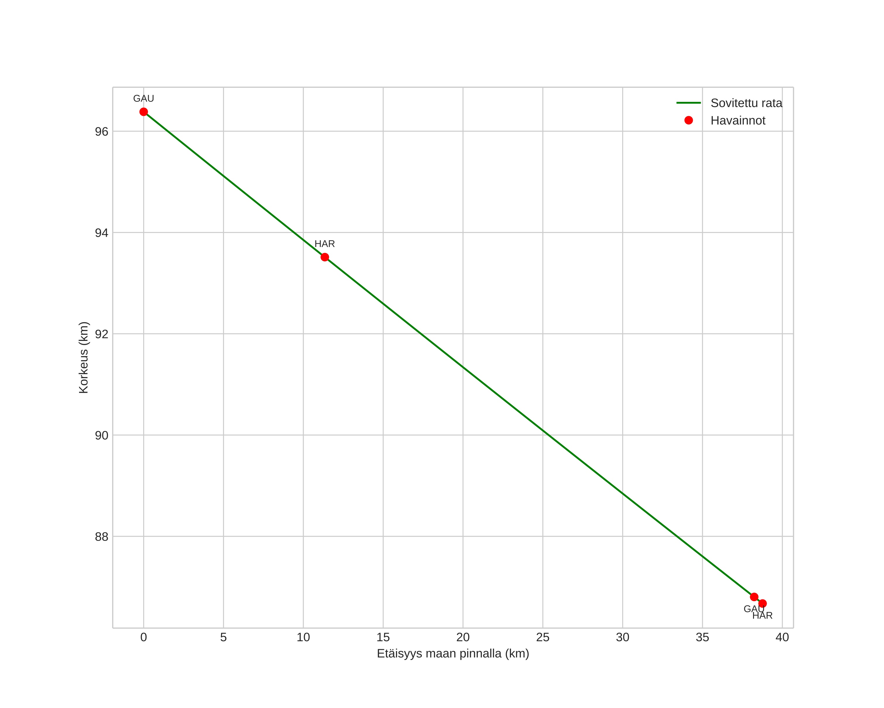
height profile
Meteorin ilmakehärata:
Alkukorkeus: 97,2 km
Loppukorkeus: 86,6 km
Alkupiste: 58,808N 10,619E
Loppupiste: 59,156N 10,377E
Suunta: 340,4°
Kallistuskulma: 14,5°
Tulonopeus: 43,4 km/s
Radiantin R,A,: 22:28 (337,2°)
Radiantin Dekl,: -16,6°
Meteoriparvi: Eteläiset delta-akvaridit
Meteoroidin rataelementit:
Perihelietäisyys: 0,078 AU
Eksentrisyys: 0,980
Inklinaatio: 24,6°
Nousevan solmun pituus: 305,8°
Perihelin argumentti: 149,8°
Keskianomalia: 355,9°
Epookki: 2025 JUL 29 00:01:46
orbit plot

Ei-interaktiivinen kuvaaja | Interaktiivinen kuvaaja

position vs time
speed and acceleration