🇳🇴 🇬🇧 🇩🇪 🇨🇿 🇫🇮

Meteor über Tjøme 2025-07-29 00:01:46 UTC

KML-Datei  |  Interaktive Karte

Die Karte zeigt die Peilungen für den Meteor. Die helleren Linien zeigen die Richtungen von den Beobachtungsorten beim Erscheinen des Meteors, und die dunkleren Linien, wo er zuletzt gesehen wurde. Der blaue Pfeil zeigt die sichtbare Bahn des Meteors.

static map
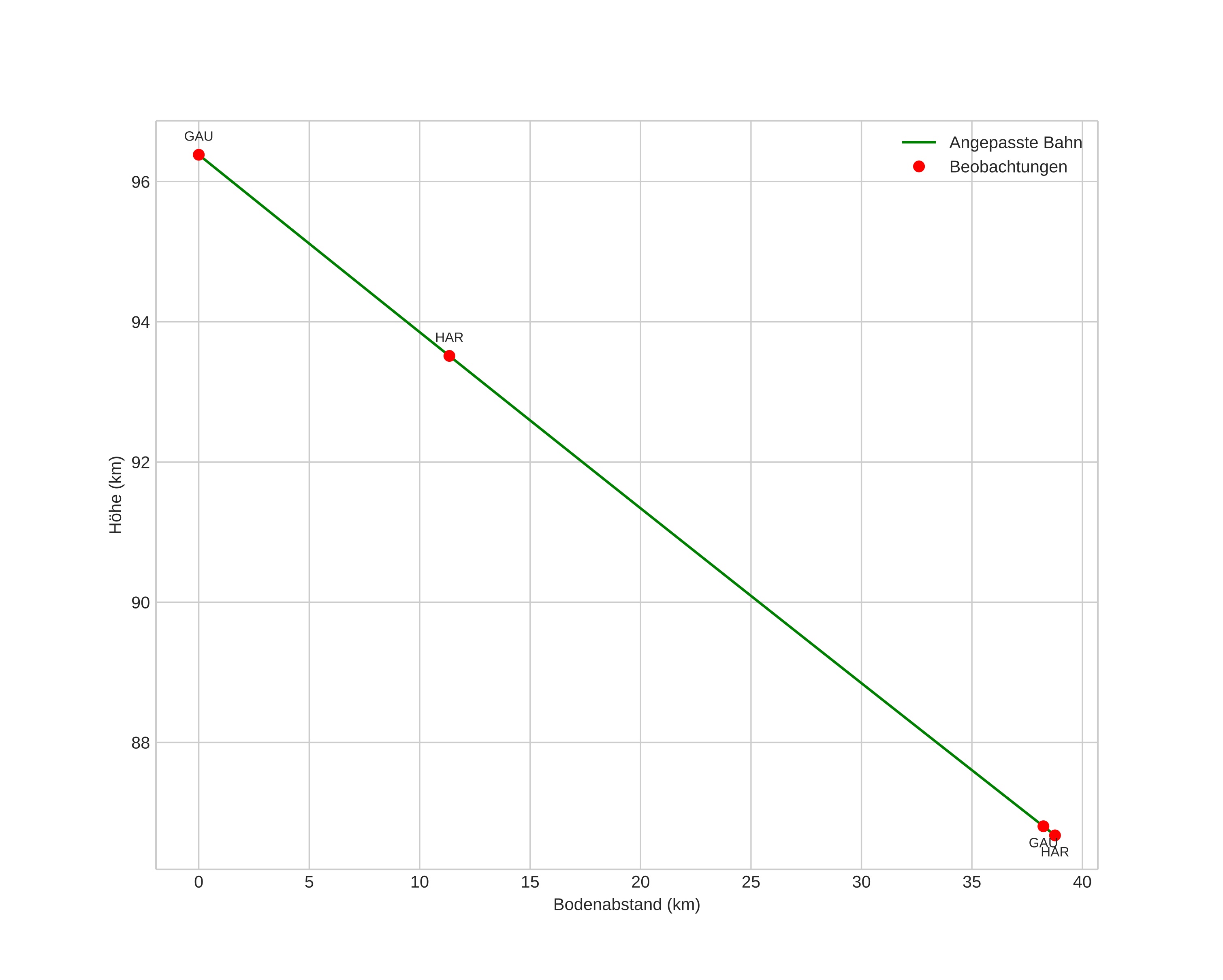
height profile
Atmosphärische Bahn des Meteors:
Anfangshöhe: 97,2 km
Endhöhe: 86,6 km
Startposition: 58,808N 10,619E
Endposition: 59,156N 10,377E
Richtung: 340,4°
Neigungswinkel: 14,5°
Eintrittsgeschwindigkeit: 43,4 km/s
Rektaszension des Radianten: 22:28 (337,2°)
Deklination des Radianten: -16,6°
Meteorstrom: Südliche Delta-Aquariiden
Bahnelemente des Meteoroiden:
Periheldistanz: 0,078 AU
Exzentrizität: 0,980
Inklination: 24,6°
Länge des aufsteigenden Knotens: 305,8°
Argument des Perihels: 149,8°
Mittlere Anomalie: 355,9°
Epoche: 2025 JUL 29 00:01:46
orbit plot

Nicht-interaktives Diagramm | Interaktives Diagramm

position vs time
speed and acceleration