🇳🇴 🇬🇧 🇩🇪 🇨🇿 🇫🇮

Meteor, poloha: Svärdsjö 2025-10-17 02:08:26 UTC

Soubor KML  |  Interaktivní mapa

Mapa zobrazuje dráhy meteoru. Světlejší čáry ukazují směry od pozorovacích stanic při objevení se meteoru a tmavší čáry, kde byl naposledy viděn. Modrá šipka značí viditelnou dráhu meteoru.

static map
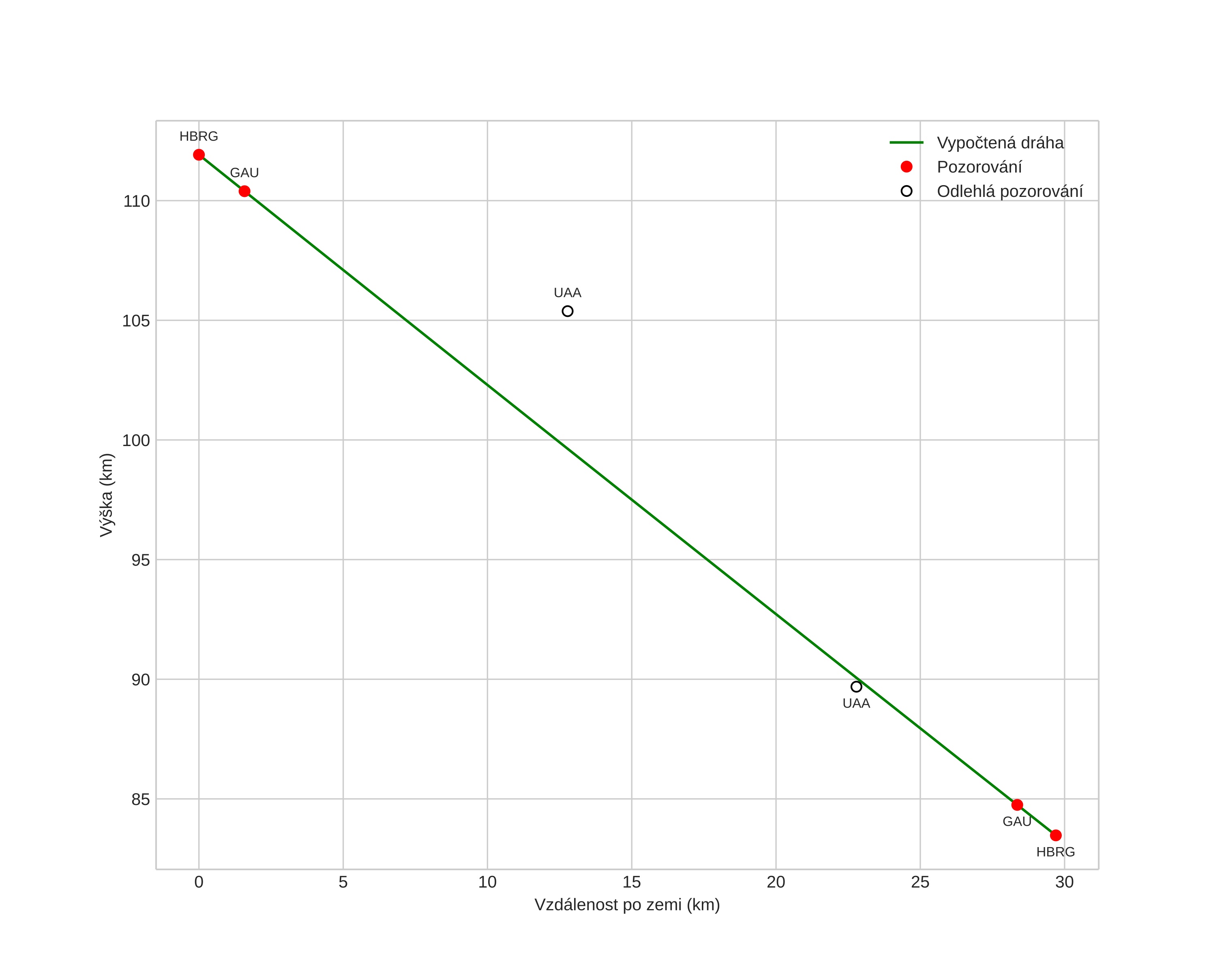
height profile
Atmosférická dráha meteoru:
Počáteční výška: 111,9 km
Konečná výška: 83,5 km
Počáteční poloha: 60,550N 16,227E
Konečná poloha: 60,801N 16,043E
Směr: 340,4°
Sklon: 43,7°
Vstupní rychlost: 73,0 km/s
Rektascenze radiantu: 05:52 (88,1°)
Deklinace radiantu: 15,1°
Meteorický roj: Orionidy
Elementy dráhy meteoroidu:
Vzdálenost v periheliu: 0,621 AU
Excentricita: 1,343
Sklon dráhy: 163,3°
Délka vzestupného uzlu: 23,6°
Argument perihelia: 69,9°
Střední anomálie: -12,9°
Epocha: 2025 OCT 17 02:08:26
orbit plot

Neinteraktivní graf | Interaktivní graf

position vs time
speed and acceleration