🇳🇴 🇬🇧 🇩🇪 🇨🇿 🇫🇮

Meteor Svärdsjöin yllä 2025-10-17 02:08:26 UTC

KML-tiedosto  |  Interaktiivinen kartta

Kartta näyttää meteorin suuntahavainnot. Vaaleammat viivat näyttävät suunnat havaintoasemilta meteorin ilmestyessä, ja tummemmat viivat näyttävät, missä se viimeksi nähtiin. Sininen nuoli näyttää meteorin näkyvän lennon.

static map
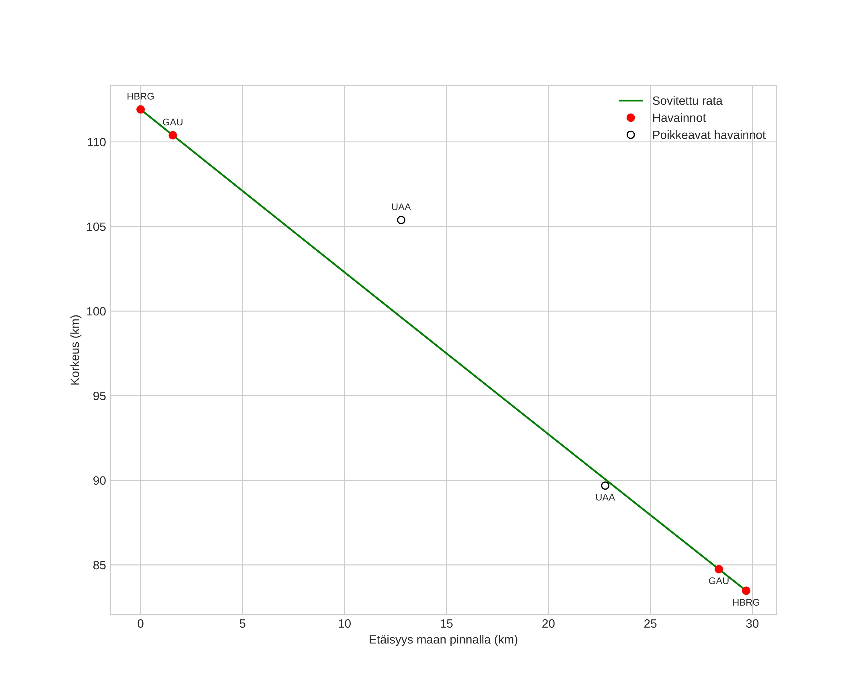
height profile
Meteorin ilmakehärata:
Alkukorkeus: 111,9 km
Loppukorkeus: 83,5 km
Alkupiste: 60,550N 16,227E
Loppupiste: 60,801N 16,043E
Suunta: 340,4°
Kallistuskulma: 43,7°
Tulonopeus: 73,0 km/s
Radiantin R,A,: 05:52 (88,1°)
Radiantin Dekl,: 15,1°
Meteoriparvi: Orionidit
Meteoroidin rataelementit:
Perihelietäisyys: 0,621 AU
Eksentrisyys: 1,343
Inklinaatio: 163,3°
Nousevan solmun pituus: 23,6°
Perihelin argumentti: 69,9°
Keskianomalia: -12,9°
Epookki: 2025 OCT 17 02:08:26
orbit plot

Ei-interaktiivinen kuvaaja | Interaktiivinen kuvaaja

position vs time
speed and acceleration

Gaustatoppen (GAU) cam2


gnomonic
Videot:
• Gnomoninen
• Gnomoninen koordinaateilla
• Alkuperäinen
• Alkuperäinen koordinaateilla
Kuvat:
• Gnomoninen
• Gnomoninen koordinaateilla
• Alkuperäinen
• Alkuperäinen koordinaateilla
Tekstitiedostot:
• Havaintoraportti
• Observaatio
• Koordinaatit
• Loki
Kirkkaus