🇳🇴 🇬🇧 🇩🇪 🇨🇿 🇫🇮

Meteor über Svärdsjö 2025-10-17 02:08:26 UTC

KML-Datei  |  Interaktive Karte

Die Karte zeigt die Peilungen für den Meteor. Die helleren Linien zeigen die Richtungen von den Beobachtungsorten beim Erscheinen des Meteors, und die dunkleren Linien, wo er zuletzt gesehen wurde. Der blaue Pfeil zeigt die sichtbare Bahn des Meteors.

static map
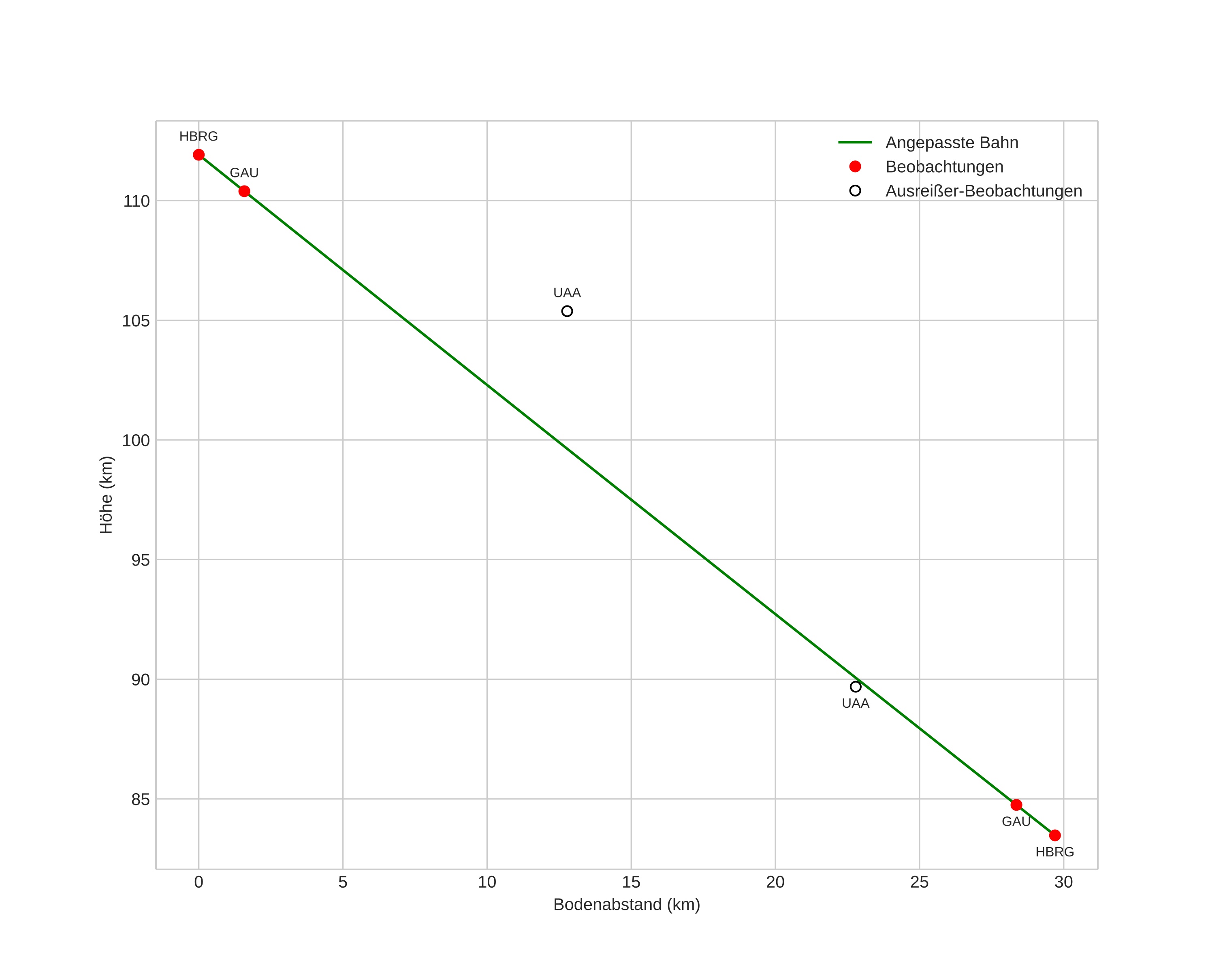
height profile
Atmosphärische Bahn des Meteors:
Anfangshöhe: 111,9 km
Endhöhe: 83,5 km
Startposition: 60,550N 16,227E
Endposition: 60,801N 16,043E
Richtung: 340,4°
Neigungswinkel: 43,7°
Eintrittsgeschwindigkeit: 73,0 km/s
Rektaszension des Radianten: 05:52 (88,1°)
Deklination des Radianten: 15,1°
Meteorstrom: Orioniden
Bahnelemente des Meteoroiden:
Periheldistanz: 0,621 AU
Exzentrizität: 1,343
Inklination: 163,3°
Länge des aufsteigenden Knotens: 23,6°
Argument des Perihels: 69,9°
Mittlere Anomalie: -12,9°
Epoche: 2025 OCT 17 02:08:26
orbit plot

Nicht-interaktives Diagramm | Interaktives Diagramm

position vs time
speed and acceleration

Gaustatoppen (GAU) cam2


gnomonic
Videos
• Gnomonisch
• Gnomonisch mit Koordinaten
• Original
• Original mit Koordinaten
Bilder
• Gnomonisch
• Gnomonisch mit Koordinaten
• Original
• Original mit Koordinaten
Textdateien
• Erkennung
• Beobachtung
• Koordinaten
• Protokoll
Helligkeit