🇳🇴 🇬🇧 🇩🇪 🇨🇿 🇫🇮

Meteor, poloha: Charlottenberg 2025-12-21 15:49:07 UTC

Soubor KML  |  InteraktivnĂ­ mapa

Mapa zobrazuje dráhy meteoru. Světlejší čáry ukazují směry od pozorovacích stanic při objevení se meteoru a tmavší čáry, kde byl naposledy viděn. Modrá šipka značí viditelnou dráhu meteoru.

static map
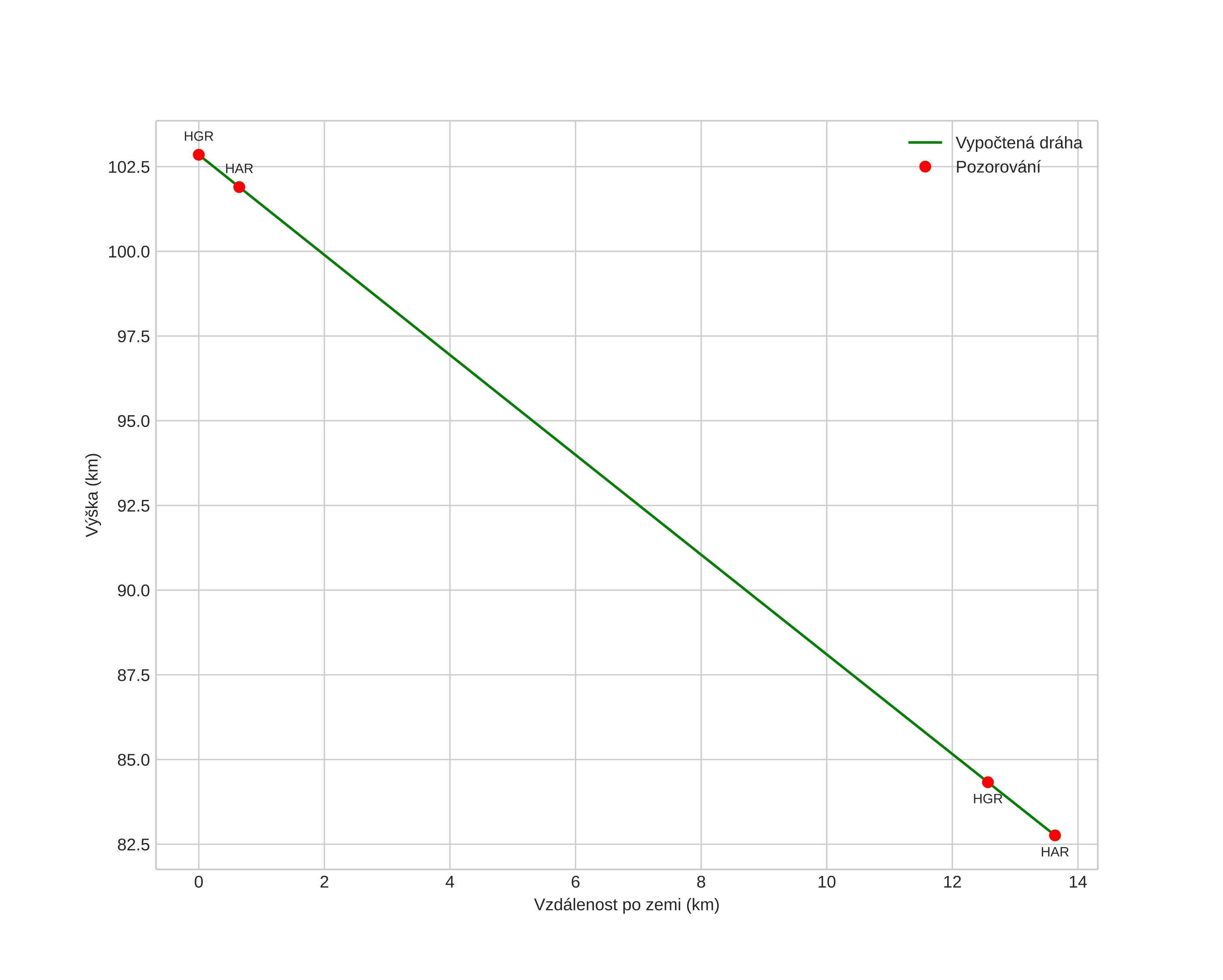
height profile
Atmosférická dráha meteoru:
Počáteční výška: 102,9 km
Konečná výška: 82,8 km
Počáteční poloha: 60,105N 12,431E
Konečná poloha: 59,985N 12,480E
Směr: 168,4°
Sklon: 55,9°
VstupnĂ­ rychlost: 36,7 km/s
Rektascenze radiantu: 14:32 (218,1°)
Deklinace radiantu: 81,8°
MeteorickĂ˝ roj: Ursidy
Elementy dráhy meteoroidu:
Vzdálenost v periheliu: 0,924 AU
Excentricita: 1,103
Sklon dráhy: 51,4°
Délka vzestupného uzlu: 269,7°
Argument perihelia: 208,0°
Střední anomálie: -0,7°
Epocha: 2025 DEC 21 15:49:07
orbit plot

NeinteraktivnĂ­ graf | InteraktivnĂ­ graf

position vs time
speed and acceleration

Hagar (HGR) cam3


gnomonic
Videa
• Gnomonická
• Gnomonická se souřadnicemi
• Původní
• Původní se souřadnicemi
Obrázky
• Gnomonická
• Gnomonická se souřadnicemi
• Původní
• Původní se souřadnicemi
Textové soubory
• Detekce
• Pozorování
• Souřadnice
• Protokol
Jasnost

Harestua (HAR) cam2


gnomonic
Videa
• Gnomonická
• Gnomonická se souřadnicemi
• Původní
• Původní se souřadnicemi
Obrázky
• Gnomonická
• Gnomonická se souřadnicemi
• Původní
• Původní se souřadnicemi
Textové soubory
• Detekce
• Pozorování
• Souřadnice
• Protokol
Jasnost