🇳🇴 🇬🇧 🇩🇪 🇨🇿 🇫🇮

Meteor over Charlottenberg 2025-12-21 15:49:07 UTC

KML file  |  Interactive map

The map shows the bearings for the meteor. The lighter lines show the directions from the observation sites at the meteor's appearance, and the darker lines show where it was last seen. The blue arrow indicates the visible path of the meteor.

static map
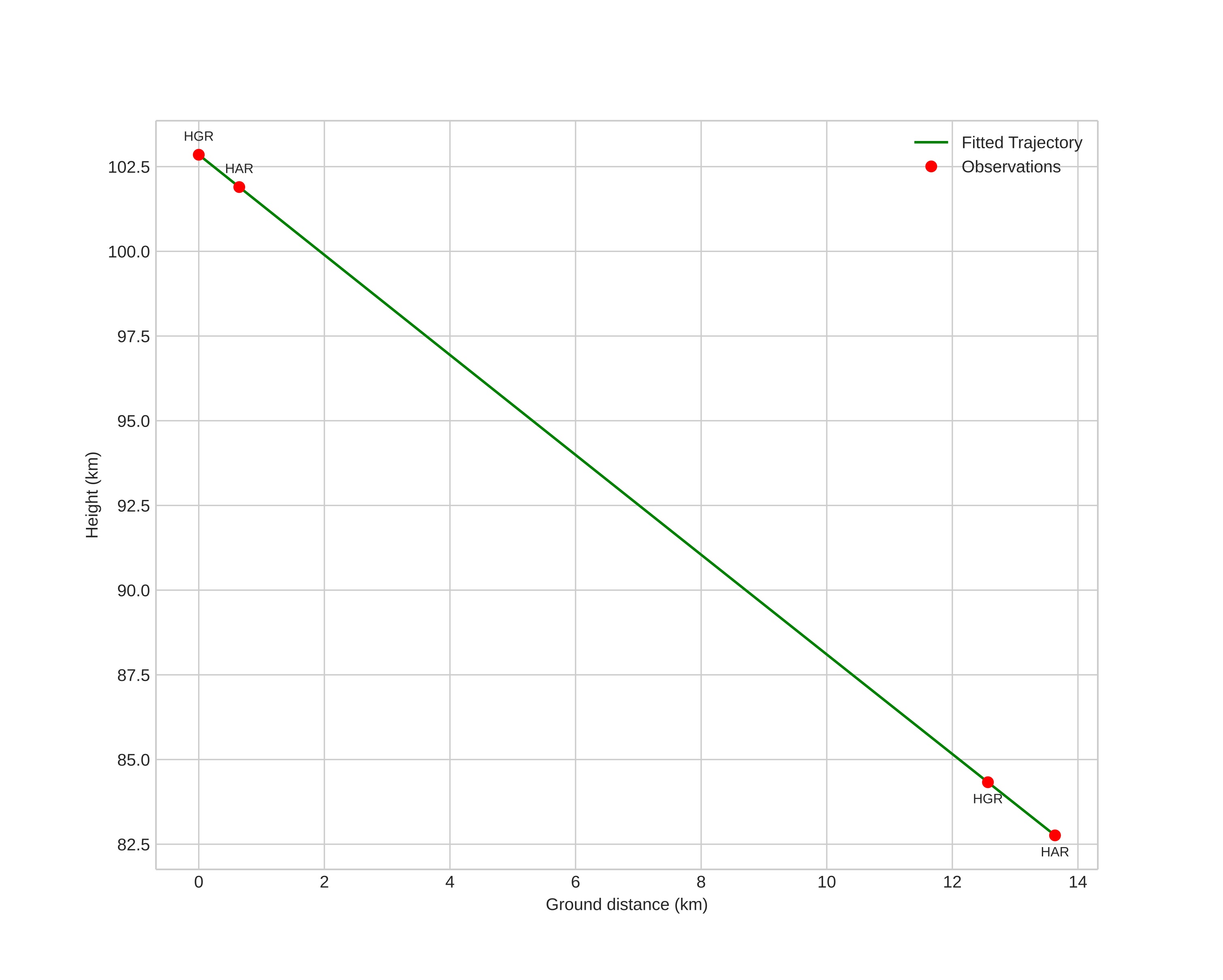
height profile
Meteor's Atmospheric Trajectory:
Start height: 102.9 km
End height: 82.8 km
Start position: 60.105N 12.431E
End position: 59.985N 12.480E
Direction: 168.4°
Inclination angle: 55.9°
Entry speed: 36.7 km/s
Radiant R.A.: 14:32 (218.1°)
Radiant Dec.: 81.8°
Meteor Shower: Ursids
Meteoroid's Orbital Elements:
Perihelion distance: 0.924 AU
Eccentricity: 1.103
Inclination: 51.4°
Long. of Asc. Node: 269.7°
Argument of Perihelion: 208.0°
Mean Anomaly: -0.7°
Epoch: 2025 DEC 21 15:49:07
orbit plot

Non-interactive plot | Interactive plot

position vs time
speed and acceleration

Hagar (HGR) cam3


gnomonic
Videos
• Gnomonic
• Gnomonic with coordinates
• Original
• Original with coordinates
Images
• Gnomonic
• Gnomonic with coordinates
• Original
• Original with coordinates
Text Files
• Detection
• Observation
• Coordinates
• Log
Brightness

Harestua (HAR) cam2


gnomonic
Videos
• Gnomonic
• Gnomonic with coordinates
• Original
• Original with coordinates
Images
• Gnomonic
• Gnomonic with coordinates
• Original
• Original with coordinates
Text Files
• Detection
• Observation
• Coordinates
• Log
Brightness