🇳🇴 🇬🇧 🇩🇪 🇨🇿 🇫🇮

Meteor über Charlottenberg 2025-12-21 15:49:07 UTC

KML-Datei  |  Interaktive Karte

Die Karte zeigt die Peilungen für den Meteor. Die helleren Linien zeigen die Richtungen von den Beobachtungsorten beim Erscheinen des Meteors, und die dunkleren Linien, wo er zuletzt gesehen wurde. Der blaue Pfeil zeigt die sichtbare Bahn des Meteors.

static map
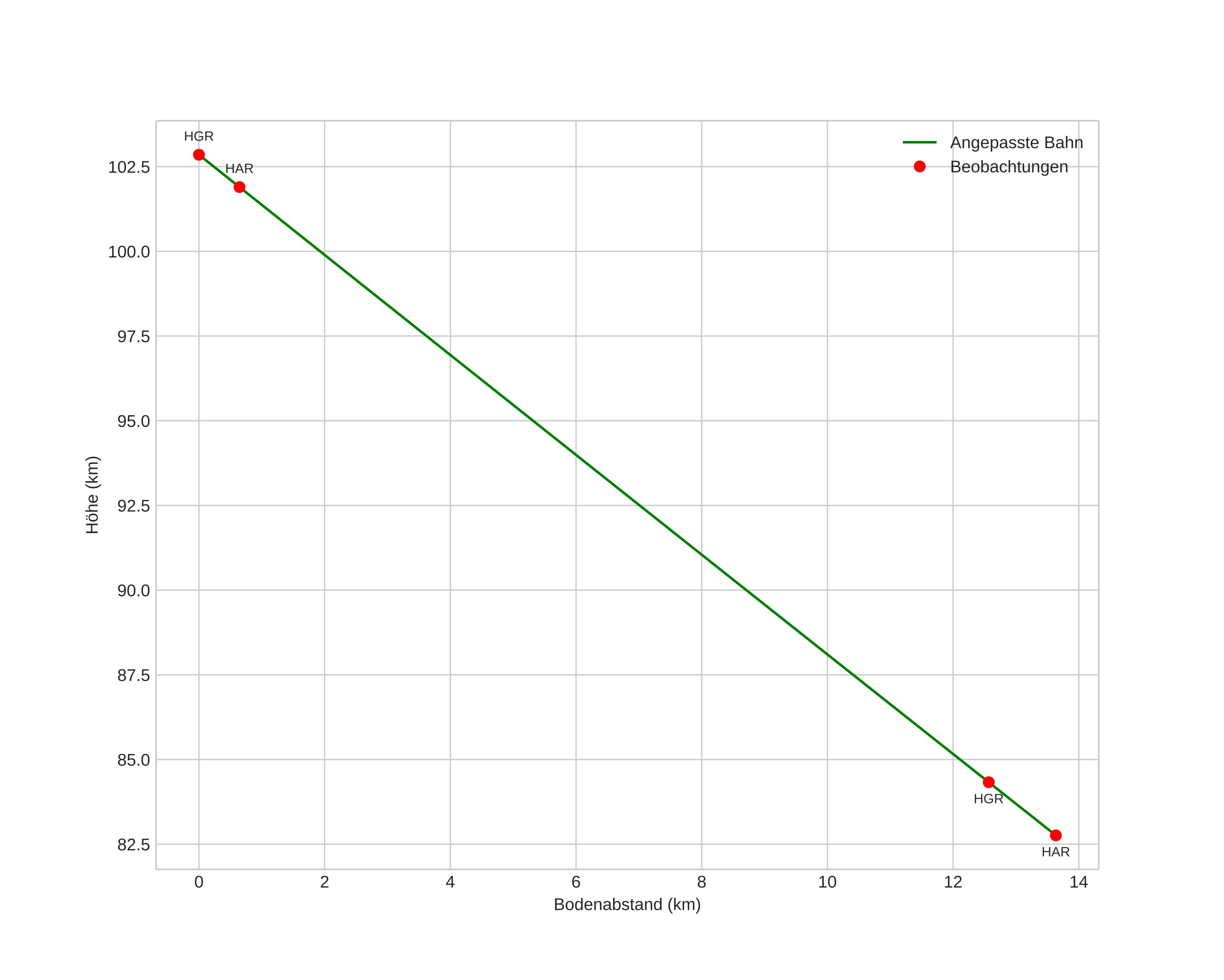
height profile
Atmosphärische Bahn des Meteors:
Anfangshöhe: 102,9 km
Endhöhe: 82,8 km
Startposition: 60,105N 12,431E
Endposition: 59,985N 12,480E
Richtung: 168,4°
Neigungswinkel: 55,9°
Eintrittsgeschwindigkeit: 36,7 km/s
Rektaszension des Radianten: 14:32 (218,1°)
Deklination des Radianten: 81,8°
Meteorstrom: Ursiden
Bahnelemente des Meteoroiden:
Periheldistanz: 0,924 AU
Exzentrizität: 1,103
Inklination: 51,4°
Länge des aufsteigenden Knotens: 269,7°
Argument des Perihels: 208,0°
Mittlere Anomalie: -0,7°
Epoche: 2025 DEC 21 15:49:07
orbit plot

Nicht-interaktives Diagramm | Interaktives Diagramm

position vs time
speed and acceleration

Hagar (HGR) cam3


gnomonic
Videos
• Gnomonisch
• Gnomonisch mit Koordinaten
• Original
• Original mit Koordinaten
Bilder
• Gnomonisch
• Gnomonisch mit Koordinaten
• Original
• Original mit Koordinaten
Textdateien
• Erkennung
• Beobachtung
• Koordinaten
• Protokoll
Helligkeit

Harestua (HAR) cam2


gnomonic
Videos
• Gnomonisch
• Gnomonisch mit Koordinaten
• Original
• Original mit Koordinaten
Bilder
• Gnomonisch
• Gnomonisch mit Koordinaten
• Original
• Original mit Koordinaten
Textdateien
• Erkennung
• Beobachtung
• Koordinaten
• Protokoll
Helligkeit