🇳🇴 🇬🇧 🇩🇪 🇨🇿 🇫🇮

Meteor über Ramnäs 2026-04-22 01:20:23 UTC

KML-Datei  |  Interaktive Karte

Die Karte zeigt die Peilungen für den Meteor. Die helleren Linien zeigen die Richtungen von den Beobachtungsorten beim Erscheinen des Meteors, und die dunkleren Linien, wo er zuletzt gesehen wurde. Der blaue Pfeil zeigt die sichtbare Bahn des Meteors.

static map
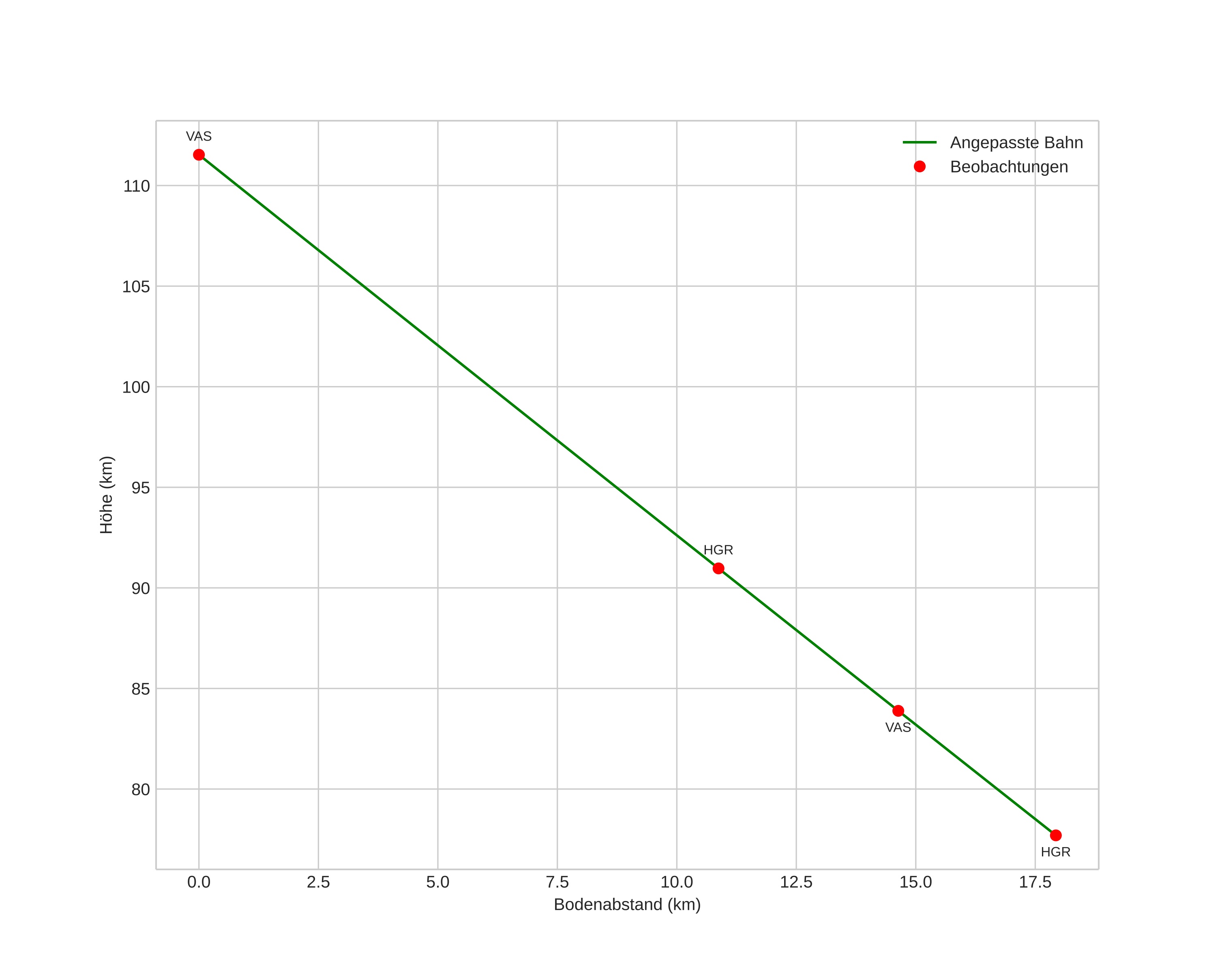
height profile
Atmosphärische Bahn des Meteors:
Anfangshöhe: 111,5 km
Endhöhe: 77,7 km
Startposition: 59,757N 16,488E
Endposition: 59,887N 16,297E
Richtung: 323,5°
Neigungswinkel: 62,1°
Eintrittsgeschwindigkeit: 57,4 km/s
Rektaszension des Radianten: 17:44 (266,1°)
Deklination des Radianten: 34,7°
Meteorstrom: Lyriden
Bahnelemente des Meteoroiden:
Periheldistanz: 0,912 AU
Exzentrizität: 1,885
Inklination: 82,7°
Länge des aufsteigenden Knotens: 31,6°
Argument des Perihels: 210,8°
Mittlere Anomalie: -16,1°
Epoche: 2026 APR 22 01:20:23
orbit plot

Nicht-interaktives Diagramm | Interaktives Diagramm

position vs time
speed and acceleration

Hagar (HGR) cam3


preview
Videos
• Gnomonisch
• Gnomonisch mit Koordinaten
• Original
• Original mit Koordinaten
Bilder
• Gnomonisch
• Gnomonisch mit Koordinaten
• Original
• Original mit Koordinaten
Textdateien
• Erkennung
• Beobachtung
• Koordinaten
• Protokoll
Helligkeit

Vasteras (VAS) cam6


preview
Videos
• Gnomonisch
• Gnomonisch mit Koordinaten
• Original
• Original mit Koordinaten
Bilder
• Gnomonisch
• Gnomonisch mit Koordinaten
• Original
• Original mit Koordinaten
Textdateien
• Erkennung
• Beobachtung
• Koordinaten
• Protokoll
Helligkeit