🇳🇴 🇬🇧 🇩🇪 🇨🇿 🇫🇮

Meteor over Ramnäs 2026-04-22 01:20:23 UTC

KML-fil  |  Interaktivt kart

Kartet viser peilingene for meteoren. De lysere linjene viser retningene fra observasjonsstedene for meteorens tilsynekomst, og de mørkere linjene viser hvor den sist kunne sees. Den blå pila viser meteorens synlige ferd.

static map
height profile
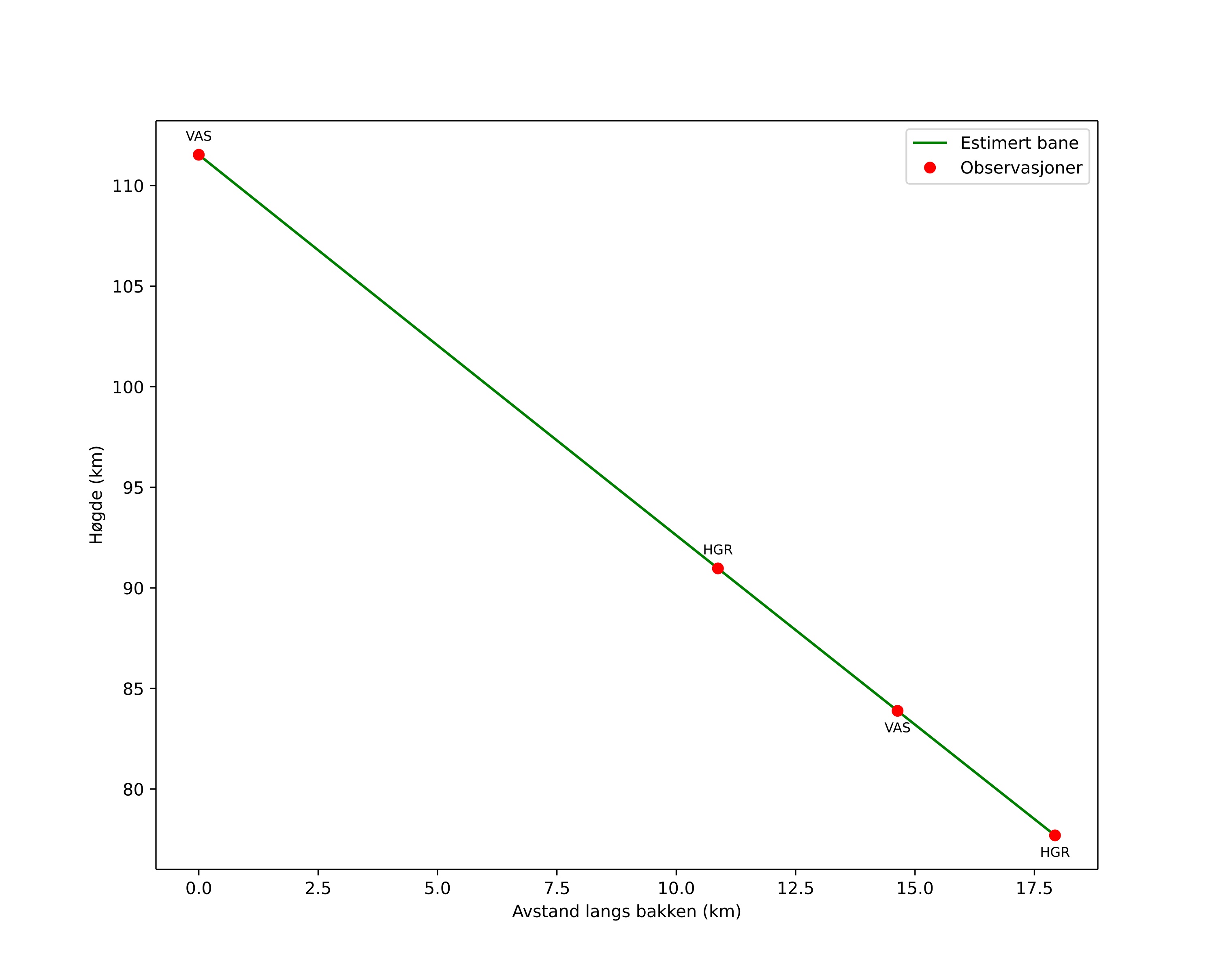
Meteorens atmosfæriske bane:
Starthøgde: 111,5 km
Slutthøgde: 77,7 km
Startposisjon: 59,757N 16,488E
Sluttposisjon: 59,887N 16,297E
Retning: 323,5°
Fallvinkel: 62,1°
Inngangshastighet: 57,4 km/s
Radiantens rektascensjon: 17:44 (266,1°)
Radiantens deklinasjon: 34,7°
Meteorsverm: Lyridene
Meteoroidens baneelement:
Perihelavstand: 0,912 AU
Eksentrisitet: 1,885
Inklinasjon: 82,7°
Knutelengde: 31,6°
Perihelargument: 210,8°
Midlere anomali: -16,1°
Epoke: 2026 APR 22 01:20:23
orbit plot

Ikke-interaktivt plott | Interaktivt plott

position vs time
speed and acceleration

Hagar (HGR) cam3


preview
Videoer
• Gnomonisk
• Gnomonisk med koordinater
• Original
• Original med koordinater
Bilder
• Gnomonisk
• Gnomonisk med koordinater
• Original
• Original med koordinater
Tekstfiler
• Deteksjon
• Observasjon
• Koordinater
• Logg
Lysstyrke

Vasteras (VAS) cam6


preview
Videoer
• Gnomonisk
• Gnomonisk med koordinater
• Original
• Original med koordinater
Bilder
• Gnomonisk
• Gnomonisk med koordinater
• Original
• Original med koordinater
Tekstfiler
• Deteksjon
• Observasjon
• Koordinater
• Logg
Lysstyrke