🇳🇴 🇬🇧 🇩🇪 🇨🇿 🇫🇮

Meteor Ramnäsin yllä 2026-04-22 01:20:23 UTC

KML-tiedosto  |  Interaktiivinen kartta

Kartta näyttää meteorin suuntahavainnot. Vaaleammat viivat näyttävät suunnat havaintoasemilta meteorin ilmestyessä, ja tummemmat viivat näyttävät, missä se viimeksi nähtiin. Sininen nuoli näyttää meteorin näkyvän lennon.

static map
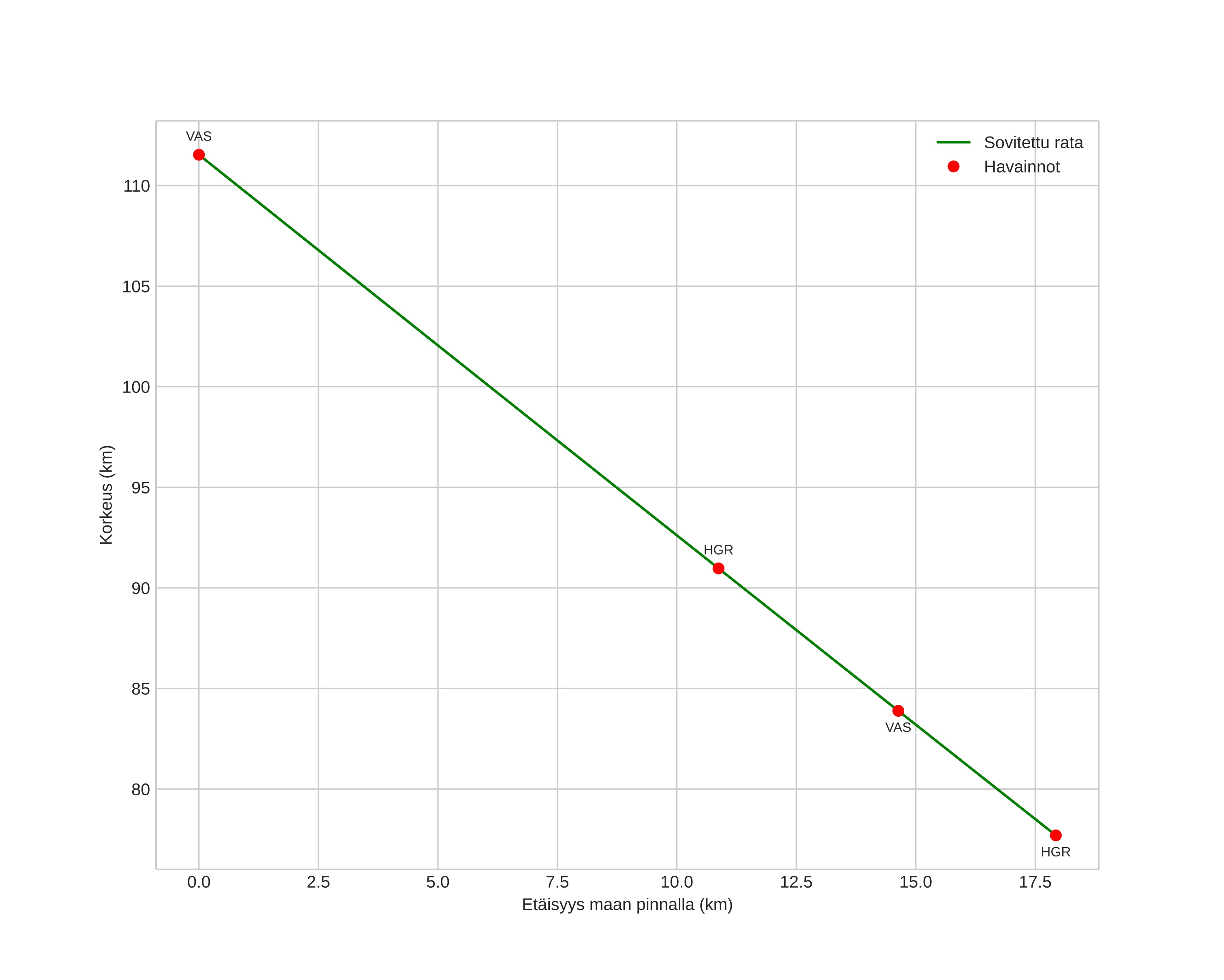
height profile
Meteorin ilmakehärata:
Alkukorkeus: 111,5 km
Loppukorkeus: 77,7 km
Alkupiste: 59,757N 16,488E
Loppupiste: 59,887N 16,297E
Suunta: 323,5°
Kallistuskulma: 62,1°
Tulonopeus: 57,4 km/s
Radiantin R,A,: 17:44 (266,1°)
Radiantin Dekl,: 34,7°
Meteoriparvi: Lyridit
Meteoroidin rataelementit:
Perihelietäisyys: 0,912 AU
Eksentrisyys: 1,885
Inklinaatio: 82,7°
Nousevan solmun pituus: 31,6°
Perihelin argumentti: 210,8°
Keskianomalia: -16,1°
Epookki: 2026 APR 22 01:20:23
orbit plot

Ei-interaktiivinen kuvaaja | Interaktiivinen kuvaaja

position vs time
speed and acceleration

Hagar (HGR) cam3


preview
Videot:
• Gnomoninen
• Gnomoninen koordinaateilla
• Alkuperäinen
• Alkuperäinen koordinaateilla
Kuvat:
• Gnomoninen
• Gnomoninen koordinaateilla
• Alkuperäinen
• Alkuperäinen koordinaateilla
Tekstitiedostot:
• Havaintoraportti
• Observaatio
• Koordinaatit
• Loki
Kirkkaus

Vasteras (VAS) cam6


preview
Videot:
• Gnomoninen
• Gnomoninen koordinaateilla
• Alkuperäinen
• Alkuperäinen koordinaateilla
Kuvat:
• Gnomoninen
• Gnomoninen koordinaateilla
• Alkuperäinen
• Alkuperäinen koordinaateilla
Tekstitiedostot:
• Havaintoraportti
• Observaatio
• Koordinaatit
• Loki
Kirkkaus