๐Ÿ‡ณ๐Ÿ‡ด ๐Ÿ‡ฌ๐Ÿ‡ง ๐Ÿ‡ฉ๐Ÿ‡ช ๐Ÿ‡จ๐Ÿ‡ฟ ๐Ÿ‡ซ๐Ÿ‡ฎ

Meteor over Hovden 2026-04-27 01:15:08 UTC

Harestua โ€“ 4
Harestua โ€“ 4
Voksenlia โ€“ 2
Voksenlia โ€“ 2

KML file  | Interactive map

map

The map shows the bearings for the meteor. The lighter lines show the directions from the observation sites at the meteor's appearance, and the darker lines show where it was last seen. The blue arrow indicates the visible path of the meteor.

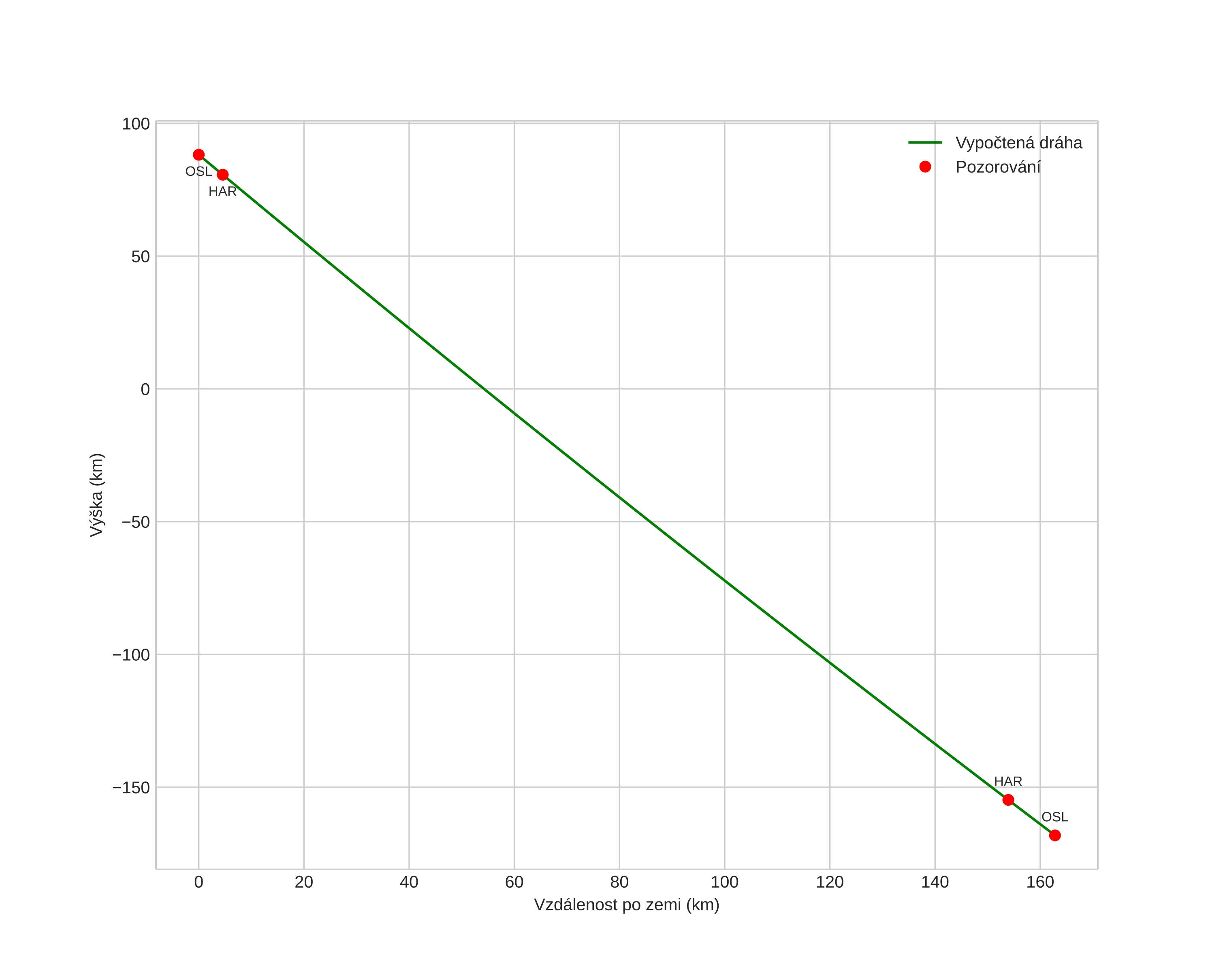
height profile
Meteor's Atmospheric Trajectory:
Start height: 95.7 km
End height: 42.5 km
Start position: 60.121N 7.907E
End position: 60.051N 7.625E
Direction: 243.9ยฐ
Inclination angle: 71.9ยฐ
Entry speed: 34.9 km/s
Radiant R.A.: 18:40 (280.1ยฐ)
Radiant Dec.: 63.2ยฐ
Meteor Shower: sporadic
Meteoroid's Orbital Elements:
Perihelion distance: 1.005 AU
Eccentricity: 1.032
Inclination: 51.0ยฐ
Long. of Asc. Node: 36.4ยฐ
Argument of Perihelion: 176.0ยฐ
Mean Anomaly: 0.0ยฐ
Epoch: 2026 APR 27 01:15:08
orbit

Non-interactive plot | Interactive plot

position vs time
speed & acceleration