🇳🇴 🇬🇧 🇩🇪 🇨🇿 🇫🇮

Meteor Ånebyn yllä 2026-04-27 01:15:08 UTC

KML-tiedosto  |  Interaktiivinen kartta

Kartta näyttää meteorin suuntahavainnot. Vaaleammat viivat näyttävät suunnat havaintoasemilta meteorin ilmestyessä, ja tummemmat viivat näyttävät, missä se viimeksi nähtiin. Sininen nuoli näyttää meteorin näkyvän lennon.

static map
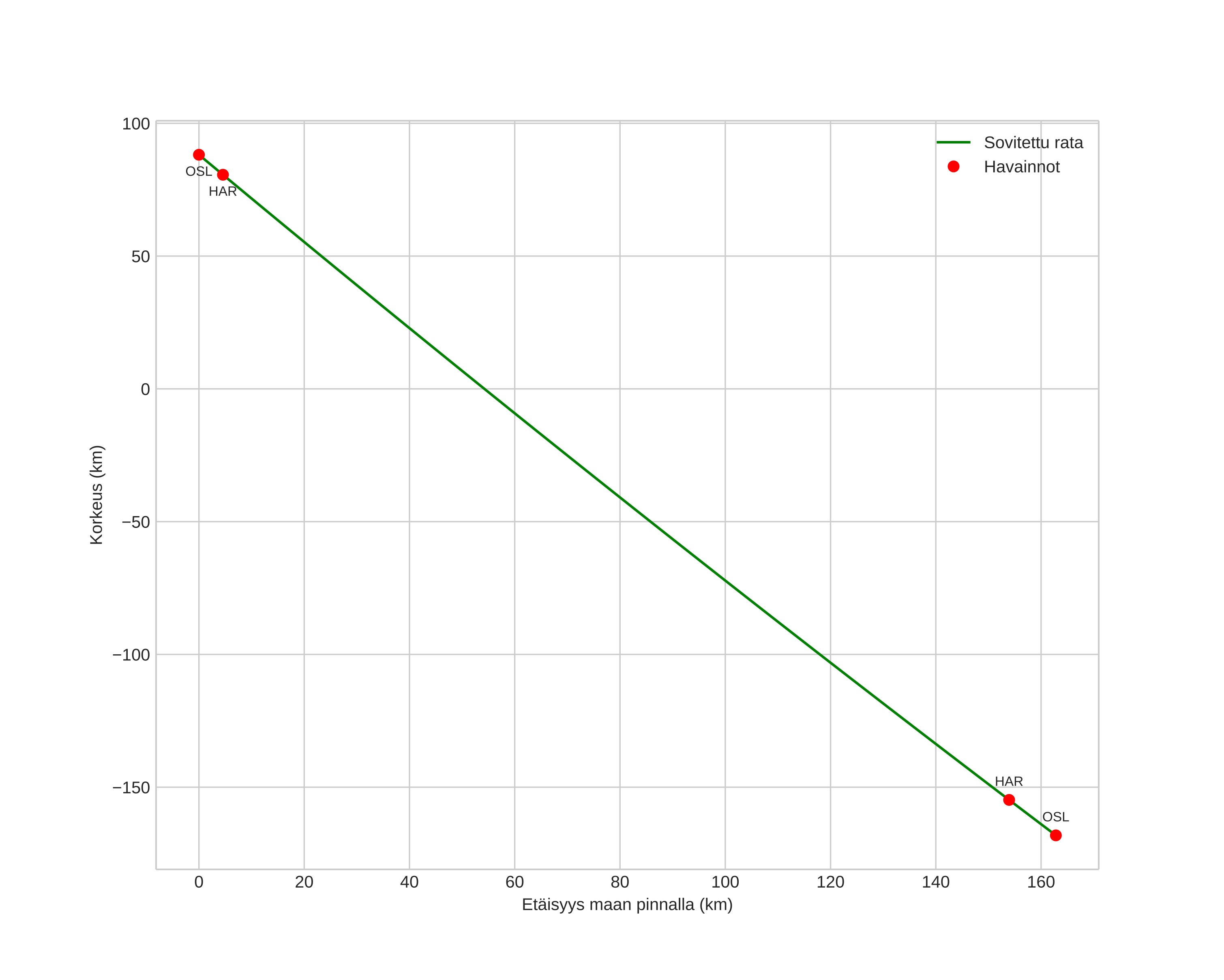
height profile
Meteorin ilmakehärata:
Alkukorkeus: 88,2 km
Loppukorkeus: -168,1 km
Alkupiste: 60,109N 7,911E
Loppupiste: 60,151N 10,850E
Suunta: 87,1°
Kallistuskulma: 57,6°
Tulonopeus: 75,7 km/s
Radiantin R,A,: 12:43 (190,8°)
Radiantin Dekl,: 45,7°
Meteoriparvi: Sporadinen
Meteoroidin rataelementit:
Perihelietäisyys: 0,933 AU
Eksentrisyys: 8,465
Inklinaatio: 37,2°
Nousevan solmun pituus: 36,4°
Perihelin argumentti: 203,3°
Keskianomalia: -162,7°
Epookki: 2026 APR 27 01:15:08
orbit plot

Ei-interaktiivinen kuvaaja | Interaktiivinen kuvaaja

position vs time
speed and acceleration

Harestua (HAR) cam4


preview
Videot:
• Alkuperäinen
Kuvat:
• Gnomoninen
• Alkuperäinen
Tekstitiedostot:
• Havaintoraportti
• Observaatio
• Koordinaatit
• Loki
Kirkkaus

Voksenlia (OSL) cam2


preview
Videot:
• Alkuperäinen
Kuvat:
• Gnomoninen
• Alkuperäinen
Tekstitiedostot:
• Havaintoraportti
• Observaatio
• Koordinaatit
• Loki
Kirkkaus