🇳🇴 🇬🇧 🇩🇪 🇨🇿 🇫🇮

Meteor over Ã…neby 2026-04-27 01:15:08 UTC

KML-fil  |  Interaktivt kart

Kartet viser peilingene for meteoren. De lysere linjene viser retningene fra observasjonsstedene for meteorens tilsynekomst, og de mørkere linjene viser hvor den sist kunne sees. Den blå pila viser meteorens synlige ferd.

static map
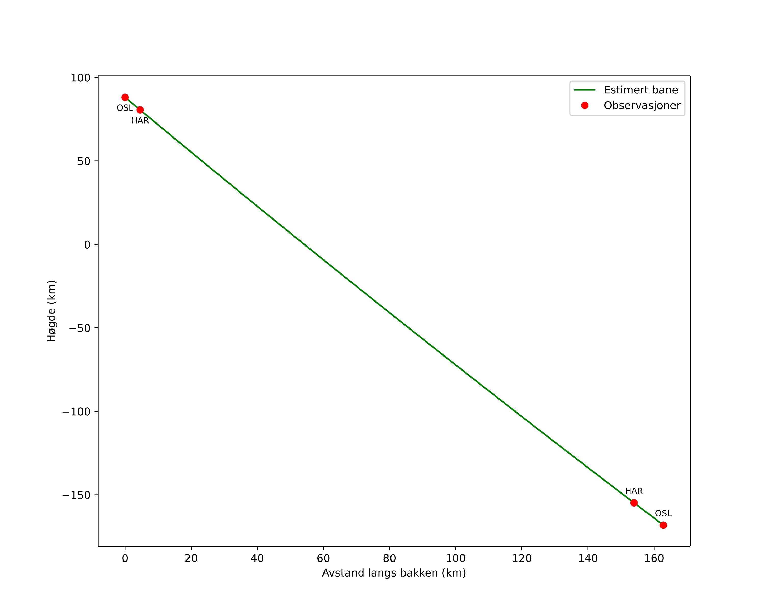
height profile
Meteorens atmosfæriske bane:
Starthøgde: 88,2 km
Slutthøgde: -168,1 km
Startposisjon: 60,109N 7,911E
Sluttposisjon: 60,151N 10,850E
Retning: 87,1°
Fallvinkel: 57,6°
Inngangshastighet: 75,7 km/s
Radiantens rektascensjon: 12:43 (190,8°)
Radiantens deklinasjon: 45,7°
Meteorsverm: sporadisk
Meteoroidens baneelement:
Perihelavstand: 0,933 AU
Eksentrisitet: 8,465
Inklinasjon: 37,2°
Knutelengde: 36,4°
Perihelargument: 203,3°
Midlere anomali: -162,7°
Epoke: 2026 APR 27 01:15:08
orbit plot

Ikke-interaktivt plott | Interaktivt plott

position vs time
speed and acceleration

Harestua (HAR) cam4


preview
Videoer
• Original
Bilder
• Gnomonisk
• Original
Tekstfiler
• Deteksjon
• Observasjon
• Koordinater
• Logg
Lysstyrke

Voksenlia (OSL) cam2


preview
Videoer
• Original
Bilder
• Gnomonisk
• Original
Tekstfiler
• Deteksjon
• Observasjon
• Koordinater
• Logg
Lysstyrke