🇳🇴 🇬🇧 🇩🇪 🇨🇿 🇫🇮

Meteor over Ã…neby 2026-04-27 01:15:08 UTC

KML file  |  Interactive map

The map shows the bearings for the meteor. The lighter lines show the directions from the observation sites at the meteor's appearance, and the darker lines show where it was last seen. The blue arrow indicates the visible path of the meteor.

static map
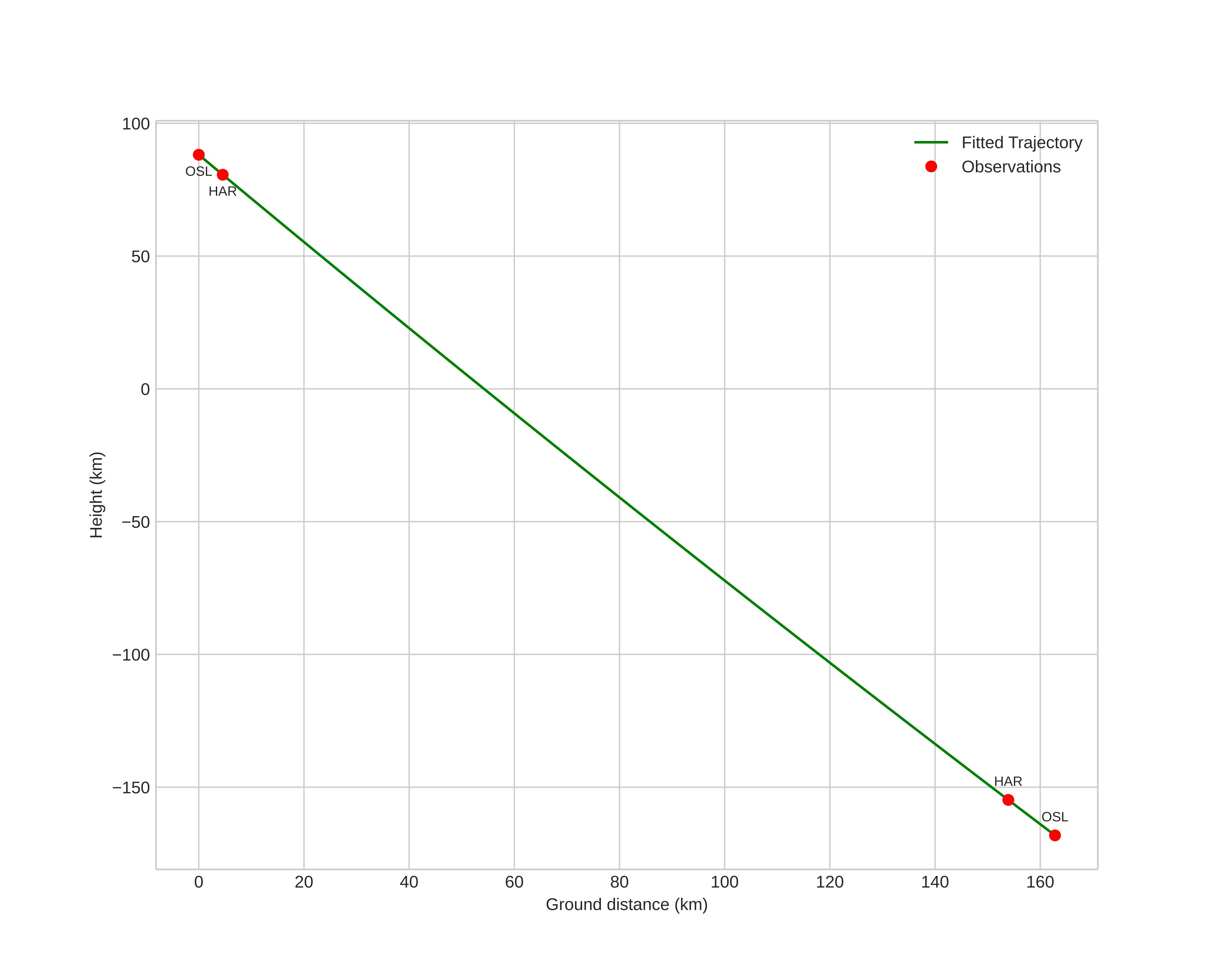
height profile
Meteor's Atmospheric Trajectory:
Start height: 88.2 km
End height: -168.1 km
Start position: 60.109N 7.911E
End position: 60.151N 10.850E
Direction: 87.1°
Inclination angle: 57.6°
Entry speed: 75.7 km/s
Radiant R.A.: 12:43 (190.8°)
Radiant Dec.: 45.7°
Meteor Shower: sporadic
Meteoroid's Orbital Elements:
Perihelion distance: 0.933 AU
Eccentricity: 8.465
Inclination: 37.2°
Long. of Asc. Node: 36.4°
Argument of Perihelion: 203.3°
Mean Anomaly: -162.7°
Epoch: 2026 APR 27 01:15:08
orbit plot

Non-interactive plot | Interactive plot

position vs time
speed and acceleration

Harestua (HAR) cam4


preview
Videos
• Original
Images
• Gnomonic
• Original
Text Files
• Detection
• Observation
• Coordinates
• Log
Brightness

Voksenlia (OSL) cam2


preview
Videos
• Original
Images
• Gnomonic
• Original
Text Files
• Detection
• Observation
• Coordinates
• Log
Brightness