๐Ÿ‡ณ๐Ÿ‡ด ๐Ÿ‡ฌ๐Ÿ‡ง ๐Ÿ‡ฉ๐Ÿ‡ช ๐Ÿ‡จ๐Ÿ‡ฟ ๐Ÿ‡ซ๐Ÿ‡ฎ

Meteor over Charlottenberg 2026-04-27 22:46:14 UTC

Moss โ€“ 2
Moss โ€“ 2
Voksenlia โ€“ 5
Voksenlia โ€“ 5

KML file  | Interactive map

map

The map shows the bearings for the meteor. The lighter lines show the directions from the observation sites at the meteor's appearance, and the darker lines show where it was last seen. The blue arrow indicates the visible path of the meteor.

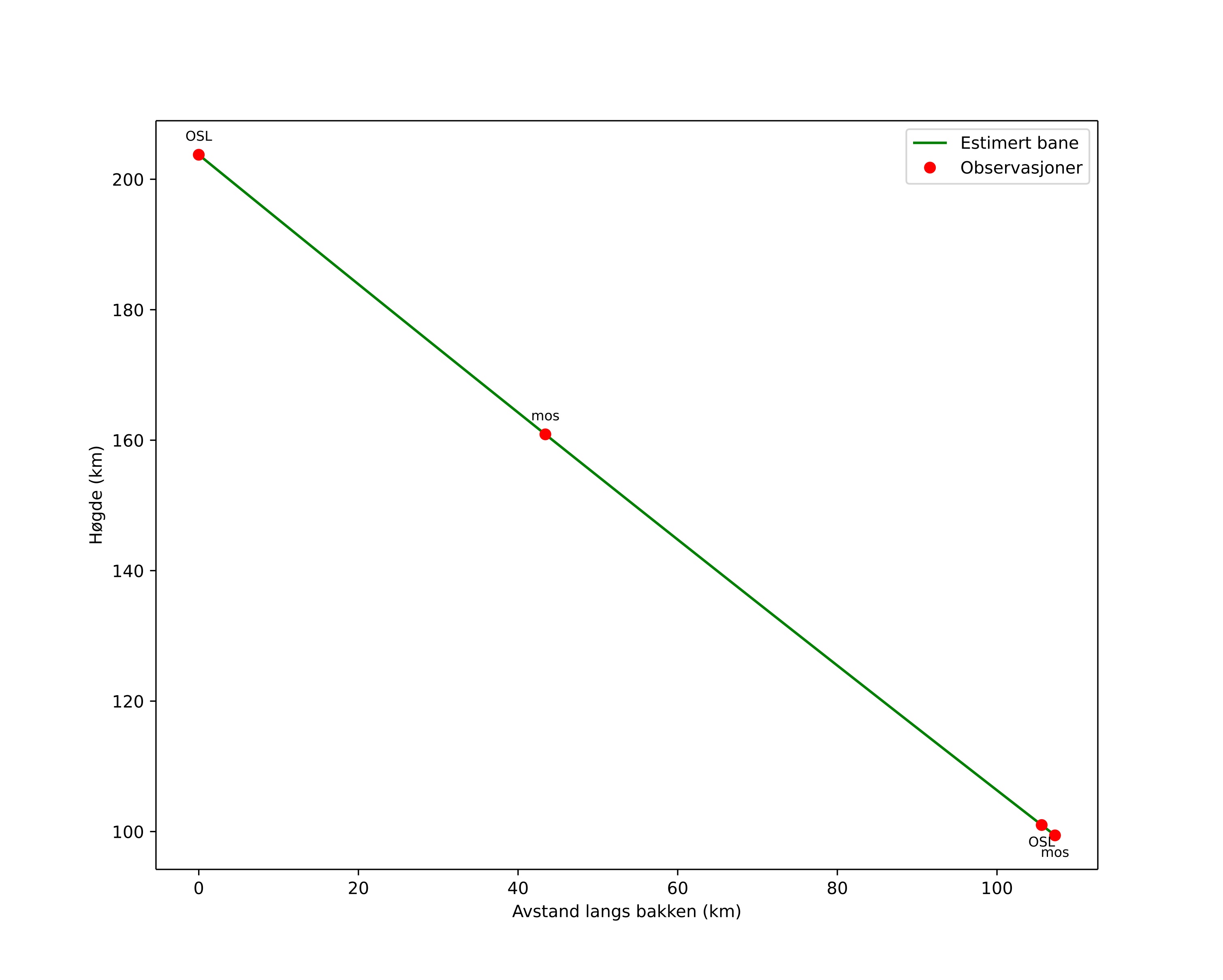
height profile
Meteor's Atmospheric Trajectory:
Start height: 99.8 km
End height: 94.4 km
Start position: 60.030N 12.808E
End position: 60.098N 12.537E
Direction: 297.1ยฐ
Inclination angle: 17.8ยฐ
Entry speed: 60.0 km/s
Radiant R.A.: 17:52 (268.1ยฐ)
Radiant Dec.: 2.1ยฐ
Meteor Shower: sporadic
Meteoroid's Orbital Elements:
Perihelion distance: 0.428 AU
Eccentricity: 1.052
Inclination: 114.3ยฐ
Long. of Asc. Node: 37.3ยฐ
Argument of Perihelion: 276.9ยฐ
Mean Anomaly: -1.6ยฐ
Epoch: 2026 APR 27 22:46:14
orbit

Non-interactive plot | Interactive plot

position vs time
speed & acceleration