🇳🇴 🇬🇧 🇩🇪 🇨🇿 🇫🇮

Meteor über Torsby 2026-04-27 22:46:14 UTC

KML-Datei  |  Interaktive Karte

Die Karte zeigt die Peilungen für den Meteor. Die helleren Linien zeigen die Richtungen von den Beobachtungsorten beim Erscheinen des Meteors, und die dunkleren Linien, wo er zuletzt gesehen wurde. Der blaue Pfeil zeigt die sichtbare Bahn des Meteors.

static map
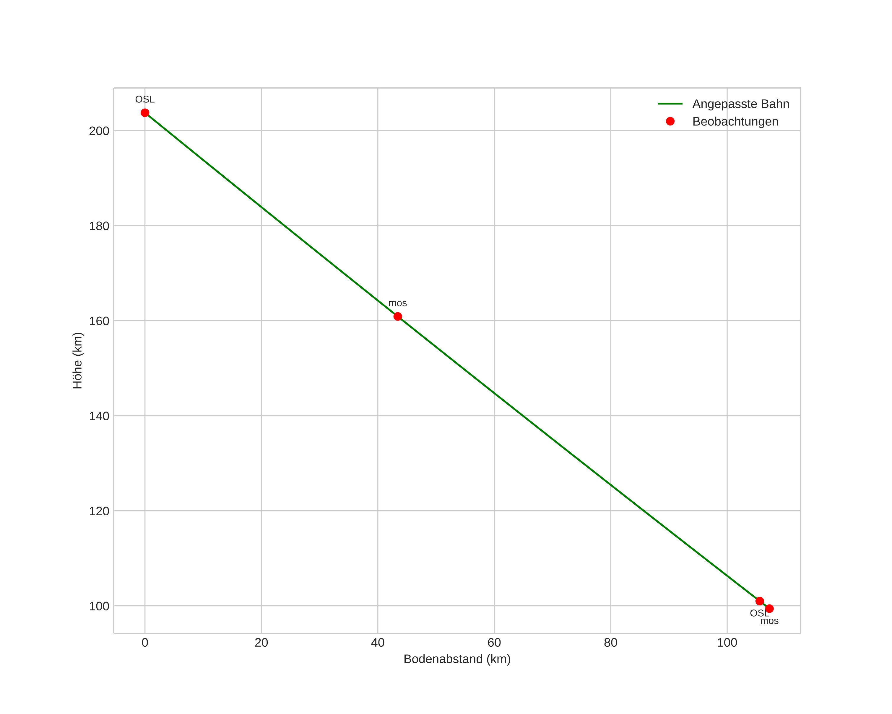
height profile
Atmosphärische Bahn des Meteors:
Anfangshöhe: 203,8 km
Endhöhe: 99,4 km
Startposition: 60,049N 10,784E
Endposition: 60,088N 12,716E
Richtung: 86,8°
Neigungswinkel: 44,2°
position vs time
speed and acceleration

Moss (mos) cam2


preview
Videos
• Original
Bilder
• Gnomonisch
• Original
Textdateien
• Erkennung
• Beobachtung
• Koordinaten
• Protokoll
Helligkeit

Voksenlia (OSL) cam5


preview
Videos
• Original
Bilder
• Gnomonisch
• Original
Textdateien
• Erkennung
• Beobachtung
• Koordinaten
• Protokoll
Helligkeit