🇳🇴 🇬🇧 🇩🇪 🇨🇿 🇫🇮

Meteor over Torsby 2026-04-27 22:46:14 UTC

KML file  |  Interactive map

The map shows the bearings for the meteor. The lighter lines show the directions from the observation sites at the meteor's appearance, and the darker lines show where it was last seen. The blue arrow indicates the visible path of the meteor.

static map
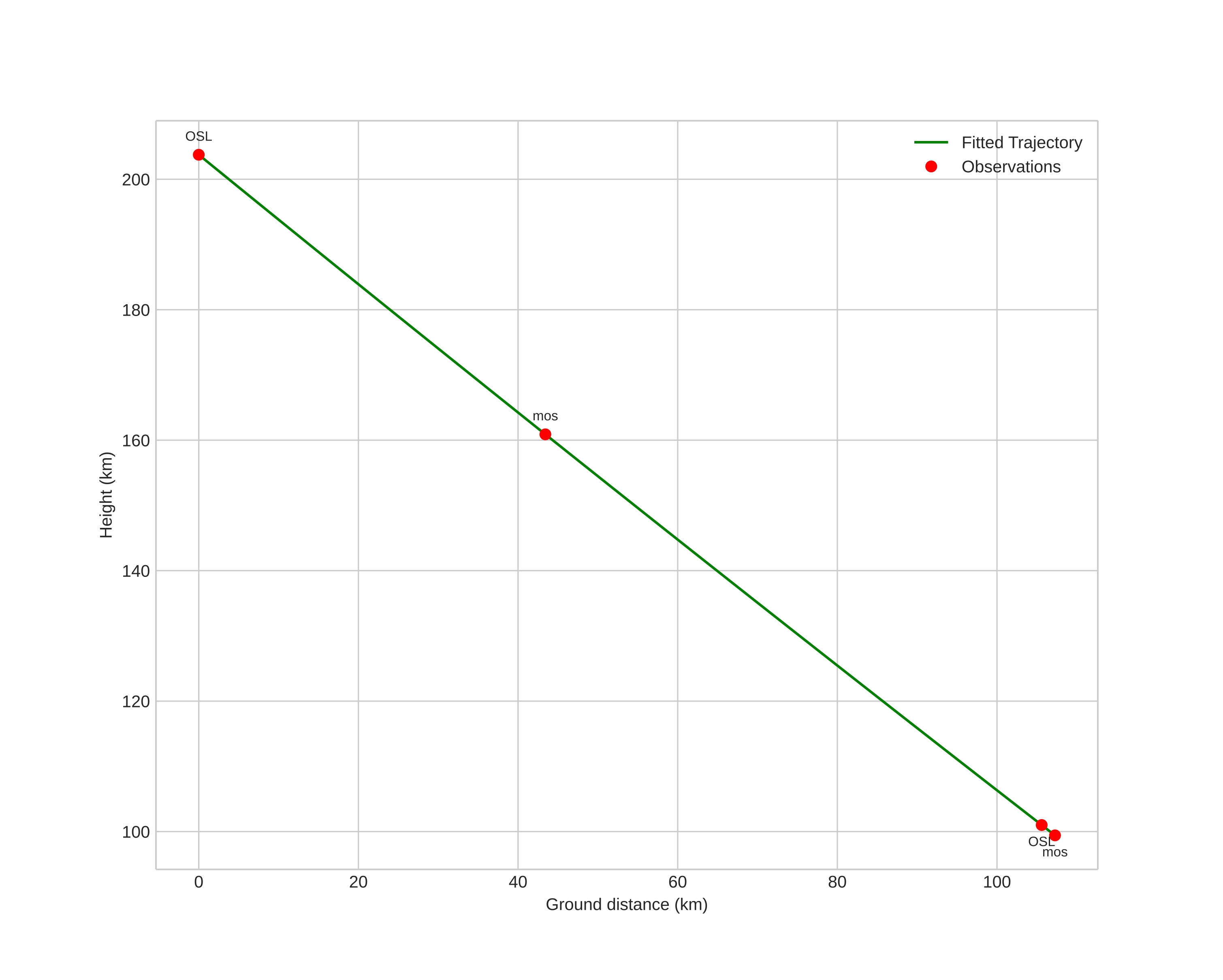
height profile
Meteor's Atmospheric Trajectory:
Start height: 203.8 km
End height: 99.4 km
Start position: 60.049N 10.784E
End position: 60.088N 12.716E
Direction: 86.8°
Inclination angle: 44.2°
position vs time
speed and acceleration

Moss (mos) cam2


preview
Videos
• Original
Images
• Gnomonic
• Original
Text Files
• Detection
• Observation
• Coordinates
• Log
Brightness

Voksenlia (OSL) cam5


preview
Videos
• Original
Images
• Gnomonic
• Original
Text Files
• Detection
• Observation
• Coordinates
• Log
Brightness