🇳🇴 🇬🇧 🇩🇪 🇨🇿 🇫🇮

Meteor, poloha: Torsby 2026-04-27 22:46:14 UTC

Soubor KML  |  Interaktivní mapa

Mapa zobrazuje dráhy meteoru. Světlejší čáry ukazují směry od pozorovacích stanic při objevení se meteoru a tmavší čáry, kde byl naposledy viděn. Modrá šipka značí viditelnou dráhu meteoru.

static map
height profile
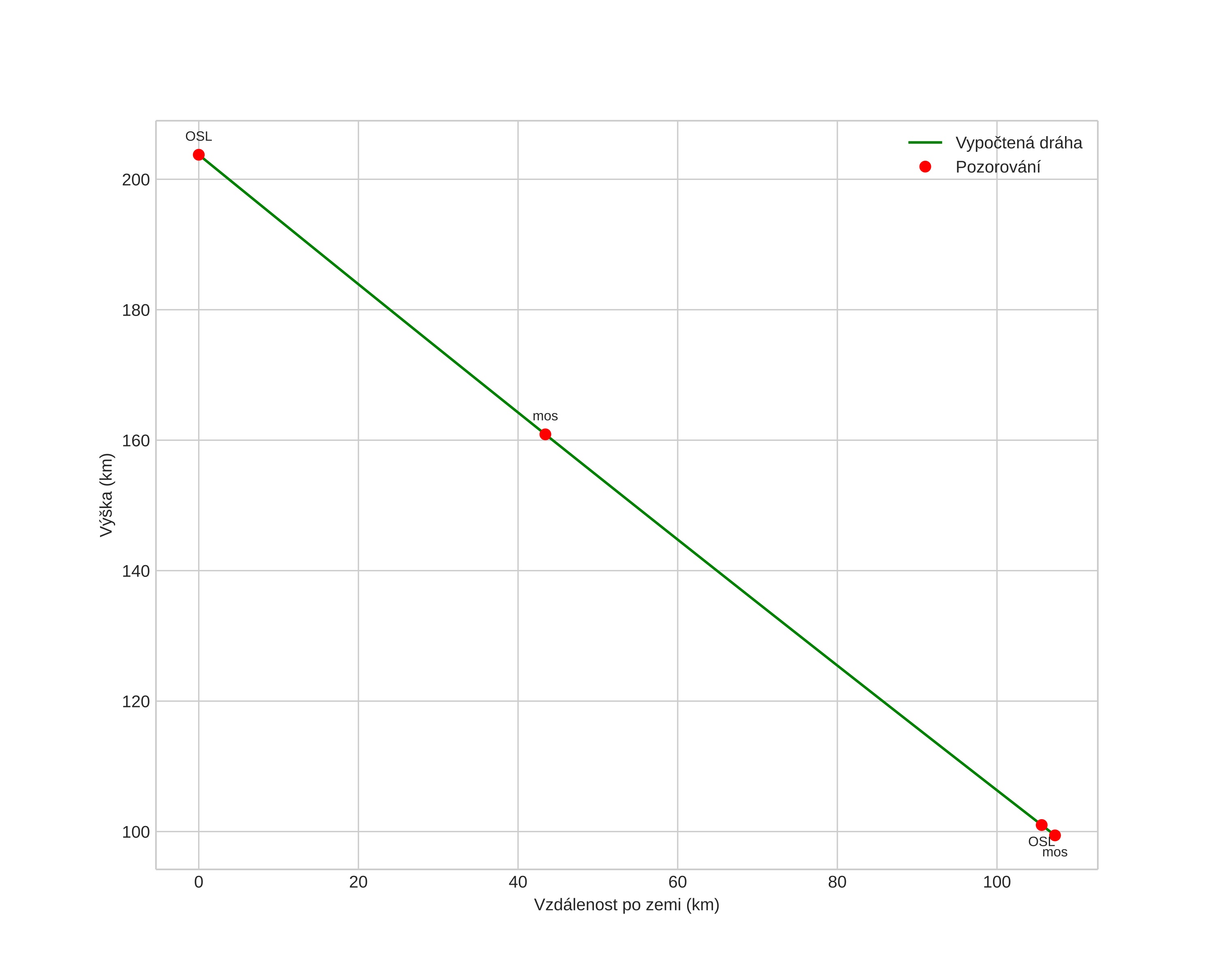
Atmosférická dráha meteoru:
Počáteční výška: 203,8 km
Konečná výška: 99,4 km
Počáteční poloha: 60,049N 10,784E
Konečná poloha: 60,088N 12,716E
Směr: 86,8°
Sklon: 44,2°
position vs time
speed and acceleration

Moss (mos) cam2


preview
Videa
Původní
Obrázky
Gnomonický
Původní
Textové soubory
Detekce
Pozorování
Souřadnice
Protokol
Jasnost

Voksenlia (OSL) cam5


preview
Videa
Původní
Obrázky
Gnomonický
Původní
Textové soubory
Detekce
Pozorování
Souřadnice
Protokol
Jasnost