🇳🇴 🇬🇧 🇩🇪 🇨🇿 🇫🇮

Meteor, poloha: Måløy 2023-05-06 23:43:51 UTC

Soubor KML  |  InteraktivnĂ­ mapa

Mapa zobrazuje dráhy meteoru. Světlejší čáry ukazují směry od pozorovacích stanic při objevení se meteoru a tmavší čáry, kde byl naposledy viděn. Modrá šipka značí viditelnou dráhu meteoru.

static map
height profile
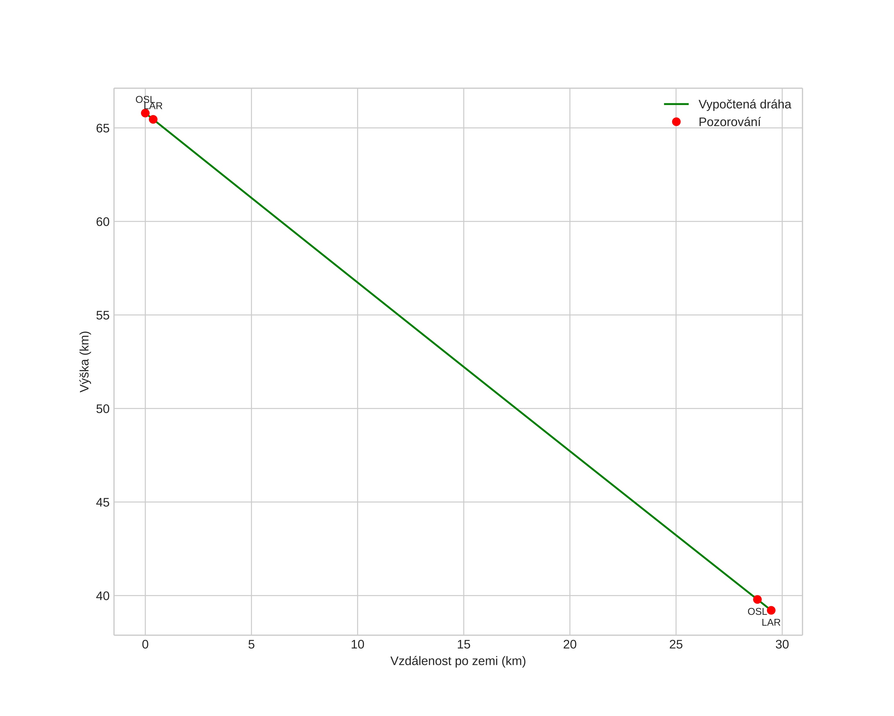
Atmosférická dráha meteoru:
Počáteční výška: 66,7 km
Konečná výška: 36,2 km
Počáteční poloha: 62,317N 4,500E
Konečná poloha: 62,023N 4,957E
Směr: 143,8°
Sklon: 37,0°
VstupnĂ­ rychlost: 14,8 km/s
Rektascenze radiantu: 06:22 (95,6°)
Deklinace radiantu: 45,6°
MeteorickĂ˝ roj: sporadickĂ˝
Elementy dráhy meteoroidu:
Vzdálenost v periheliu: 0,966 AU
Excentricita: 0,591
Sklon dráhy: 5,9°
Délka vzestupného uzlu: 45,9°
Argument perihelia: 152,4°
Střední anomálie: 5,9°
Epocha: 2023 MAY 06 23:43:51
orbit plot

NeinteraktivnĂ­ graf | InteraktivnĂ­ graf

position vs time
speed and acceleration