🇳🇴 🇬🇧 🇩🇪 🇨🇿 🇫🇮

Meteor, poloha: Rubbestadneset 2023-12-03 18:48:42 UTC

Soubor KML  |  InteraktivnĂ­ mapa

Mapa zobrazuje dráhy meteoru. Světlejší čáry ukazují směry od pozorovacích stanic při objevení se meteoru a tmavší čáry, kde byl naposledy viděn. Modrá šipka značí viditelnou dráhu meteoru.

static map
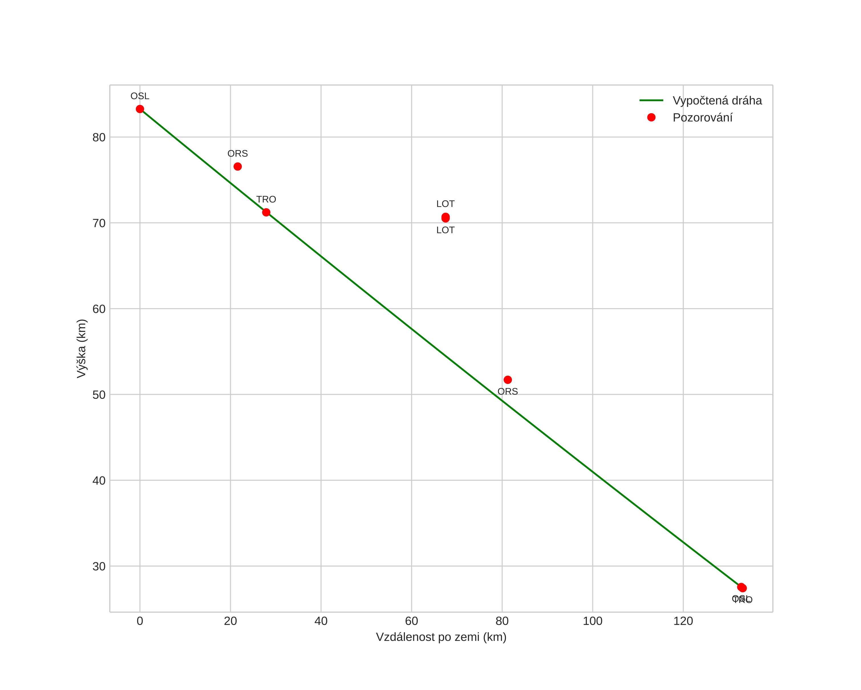
height profile
Atmosférická dráha meteoru:
Počáteční výška: 83,3 km
Konečná výška: 27,4 km
Počáteční poloha: 59,345N 3,046E
Konečná poloha: 59,807N 5,228E
Směr: 66,4°
Sklon: 22,8°
VstupnĂ­ rychlost: 14,0 km/s
Rektascenze radiantu: 19:19 (289,8°)
Deklinace radiantu: -7,3°
MeteorickĂ˝ roj: sporadickĂ˝
Elementy dráhy meteoroidu:
Vzdálenost v periheliu: 0,939 AU
Excentricita: 0,491
Sklon dráhy: 3,6°
Délka vzestupného uzlu: 251,0°
Argument perihelia: 148,8°
Střední anomálie: 9,6°
Epocha: 2023 DEC 03 18:48:42
orbit plot

NeinteraktivnĂ­ graf | InteraktivnĂ­ graf

position vs time
speed and acceleration

Trondheim (TRO) cam1


gnomonic
Videa
• Gnomonická
• Gnomonická se souřadnicemi
• Původní
• Původní se souřadnicemi
Obrázky
• Gnomonická
• Gnomonická se souřadnicemi
• Gnomonická s popisky
• Původní
• Původní se souřadnicemi
• Původní s maskou
Textové soubory
• Detekce
• Pozorování
• Souřadnice
• Protokol
Jasnost

Voksenlia (OSL) cam2


gnomonic
Videa
• Gnomonická
• Gnomonická se souřadnicemi
• Původní
• Původní se souřadnicemi
Obrázky
• Gnomonická
• Gnomonická se souřadnicemi
• Gnomonická s popisky
• Původní
• Původní se souřadnicemi
• Původní s maskou
Textové soubory
• Detekce
• Pozorování
• Souřadnice
• Protokol
Jasnost