🇳🇴 🇬🇧 🇩🇪 🇨🇿 🇫🇮

Meteor, poloha: Ă…s 2024-11-04 22:27:45 UTC

Soubor KML  |  InteraktivnĂ­ mapa

Mapa zobrazuje dráhy meteoru. Světlejší čáry ukazují směry od pozorovacích stanic při objevení se meteoru a tmavší čáry, kde byl naposledy viděn. Modrá šipka značí viditelnou dráhu meteoru.

static map
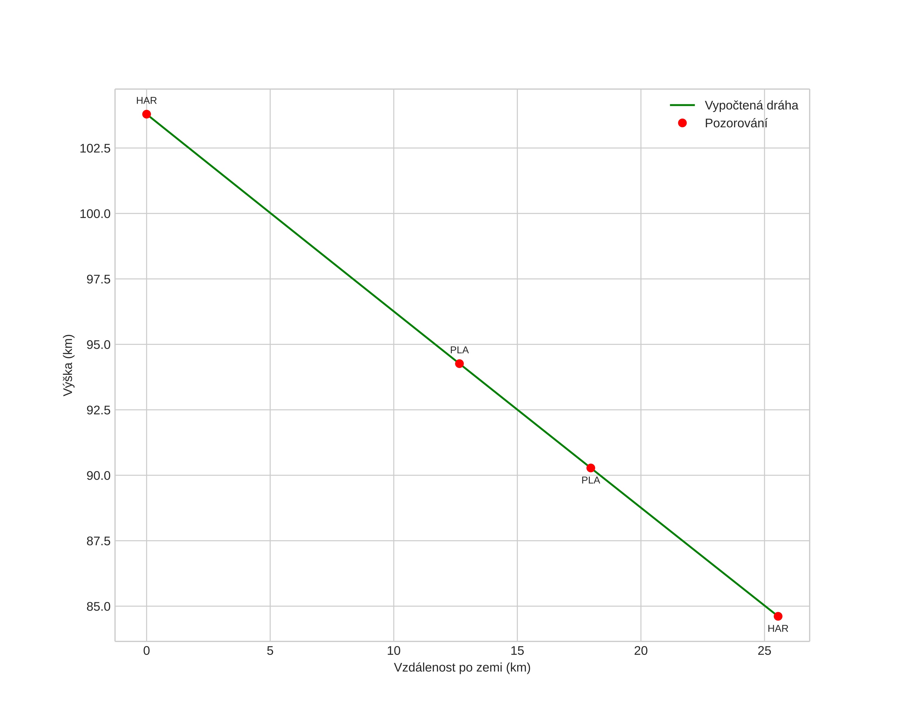
height profile
Atmosférická dráha meteoru:
Počáteční výška: 103,8 km
Konečná výška: 84,6 km
Počáteční poloha: 59,545N 11,068E
Konečná poloha: 59,705N 10,742E
Směr: 314,3°
Sklon: 36,9°
VstupnĂ­ rychlost: 42,3 km/s
Rektascenze radiantu: 04:33 (68,3°)
Deklinace radiantu: 12,6°
MeteorickĂ˝ roj: sporadickĂ˝
Elementy dráhy meteoroidu:
Vzdálenost v periheliu: 0,112 AU
Excentricita: 0,967
Sklon dráhy: 27,6°
Délka vzestupného uzlu: 42,7°
Argument perihelia: 143,4°
Střední anomálie: 354,9°
Epocha: 2024 NOV 04 22:27:45
orbit plot

NeinteraktivnĂ­ graf | InteraktivnĂ­ graf

position vs time
speed and acceleration

Plassen (PLA) cam4

gnomonic
Videa
Obrázky
• Původní
Textové soubory
• Detekce
• Pozorování
• Souřadnice
• Protokol
Jasnost