🇳🇴 🇬🇧 🇩🇪 🇨🇿 🇫🇮

Meteor Åsin yllä 2024-11-04 22:27:45 UTC

KML-tiedosto  |  Interaktiivinen kartta

Kartta näyttää meteorin suuntahavainnot. Vaaleammat viivat näyttävät suunnat havaintoasemilta meteorin ilmestyessä, ja tummemmat viivat näyttävät, missä se viimeksi nähtiin. Sininen nuoli näyttää meteorin näkyvän lennon.

static map
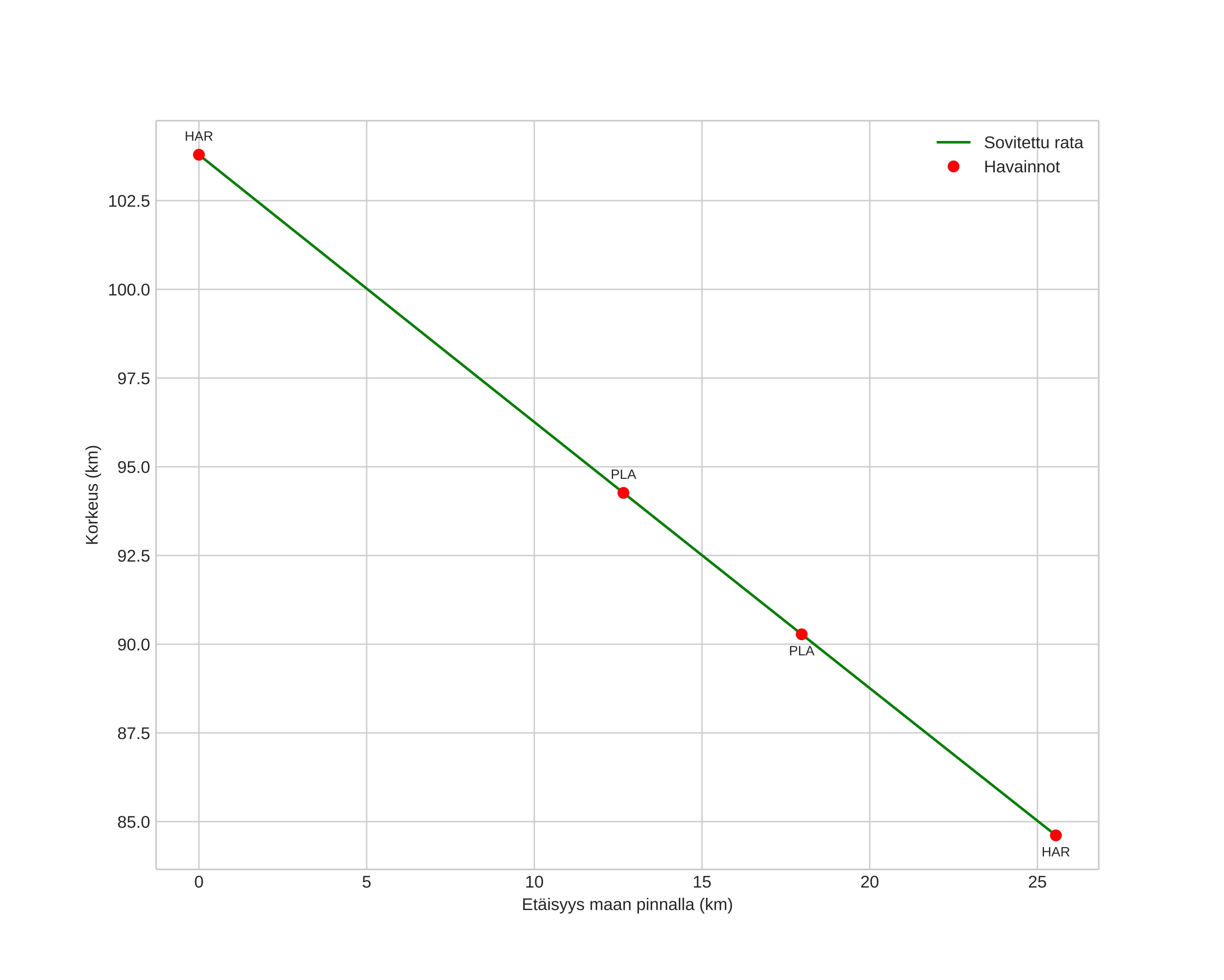
height profile
Meteorin ilmakehärata:
Alkukorkeus: 103,8 km
Loppukorkeus: 84,6 km
Alkupiste: 59,545N 11,068E
Loppupiste: 59,705N 10,742E
Suunta: 314,3°
Kallistuskulma: 36,9°
Tulonopeus: 42,3 km/s
Radiantin R,A,: 04:33 (68,3°)
Radiantin Dekl,: 12,6°
Meteoriparvi: Sporadinen
Meteoroidin rataelementit:
Perihelietäisyys: 0,112 AU
Eksentrisyys: 0,967
Inklinaatio: 27,6°
Nousevan solmun pituus: 42,7°
Perihelin argumentti: 143,4°
Keskianomalia: 354,9°
Epookki: 2024 NOV 04 22:27:45
orbit plot

Ei-interaktiivinen kuvaaja | Interaktiivinen kuvaaja

position vs time
speed and acceleration

Plassen (PLA) cam4

gnomonic
Videot:
Kuvat:
• Alkuperäinen
Tekstitiedostot:
• Havaintoraportti
• Observaatio
• Koordinaatit
• Loki
Kirkkaus