🇳🇴 🇬🇧 🇩🇪 🇨🇿 🇫🇮

Meteor over Ã…s 2024-11-04 22:27:45 UTC

KML file  |  Interactive map

The map shows the bearings for the meteor. The lighter lines show the directions from the observation sites at the meteor's appearance, and the darker lines show where it was last seen. The blue arrow indicates the visible path of the meteor.

static map
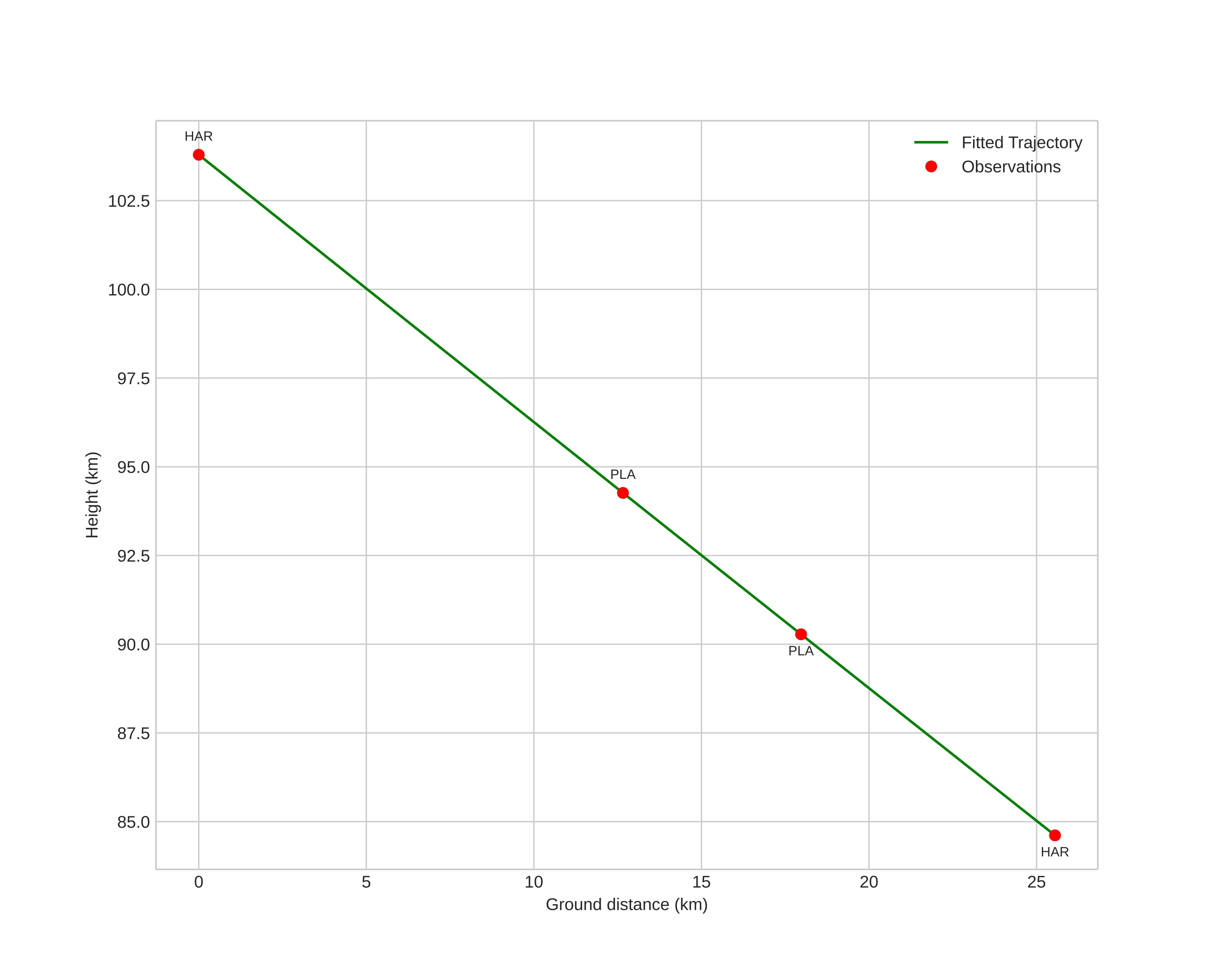
height profile
Meteor's Atmospheric Trajectory:
Start height: 103.8 km
End height: 84.6 km
Start position: 59.545N 11.068E
End position: 59.705N 10.742E
Direction: 314.3°
Inclination angle: 36.9°
Entry speed: 42.3 km/s
Radiant R.A.: 04:33 (68.3°)
Radiant Dec.: 12.6°
Meteor Shower: sporadic
Meteoroid's Orbital Elements:
Perihelion distance: 0.112 AU
Eccentricity: 0.967
Inclination: 27.6°
Long. of Asc. Node: 42.7°
Argument of Perihelion: 143.4°
Mean Anomaly: 354.9°
Epoch: 2024 NOV 04 22:27:45
orbit plot

Non-interactive plot | Interactive plot

position vs time
speed and acceleration

Harestua (HAR) cam7


gnomonic
Videos
• Gnomonic
• Gnomonic with coordinates
• Original
• Original with coordinates
Images
• Gnomonic
• Gnomonic with coordinates
• Uncorrected gnomonic with coordinates
• Gnomonic with labels
• Uncorrected gnomonic with labels
• Original
• Original with coordinates
Text Files
• Detection
• Observation
• Coordinates
• Log
Brightness

Plassen (PLA) cam4

gnomonic
Videos
Images
• Original
Text Files
• Detection
• Observation
• Coordinates
• Log
Brightness