🇳🇴 🇬🇧 🇩🇪 🇨🇿 🇫🇮

Meteor über Ås 2024-11-04 22:27:45 UTC

KML-Datei  |  Interaktive Karte

Die Karte zeigt die Peilungen für den Meteor. Die helleren Linien zeigen die Richtungen von den Beobachtungsorten beim Erscheinen des Meteors, und die dunkleren Linien, wo er zuletzt gesehen wurde. Der blaue Pfeil zeigt die sichtbare Bahn des Meteors.

static map
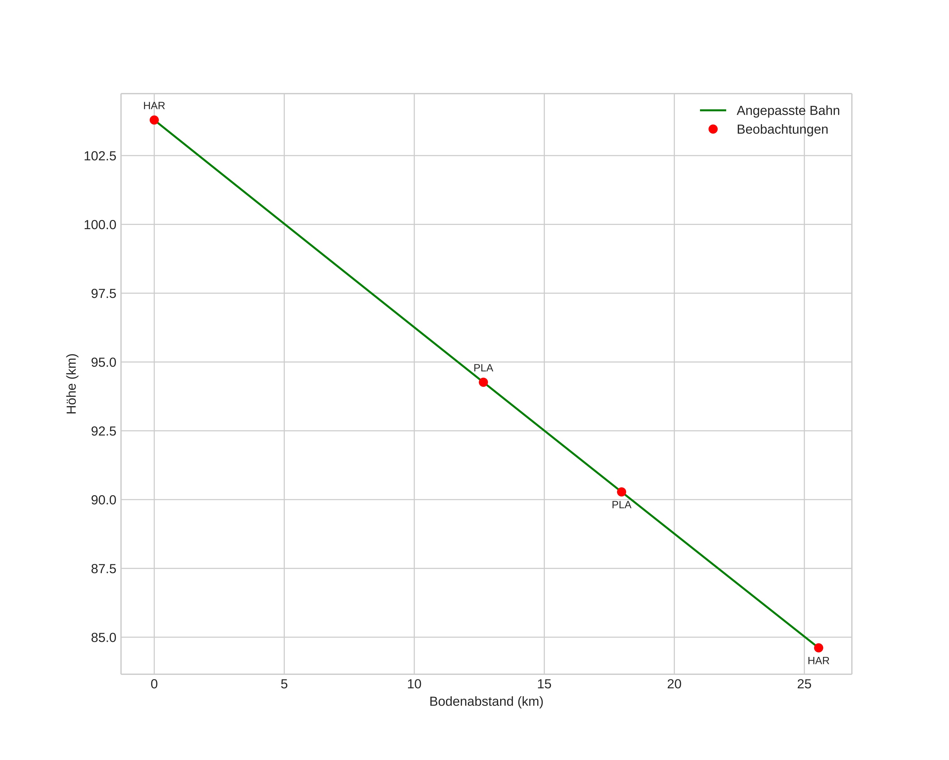
height profile
Atmosphärische Bahn des Meteors:
Anfangshöhe: 103,8 km
Endhöhe: 84,6 km
Startposition: 59,545N 11,068E
Endposition: 59,705N 10,742E
Richtung: 314,3°
Neigungswinkel: 36,9°
Eintrittsgeschwindigkeit: 42,3 km/s
Rektaszension des Radianten: 04:33 (68,3°)
Deklination des Radianten: 12,6°
Meteorstrom: sporadisch
Bahnelemente des Meteoroiden:
Periheldistanz: 0,112 AU
Exzentrizität: 0,967
Inklination: 27,6°
Länge des aufsteigenden Knotens: 42,7°
Argument des Perihels: 143,4°
Mittlere Anomalie: 354,9°
Epoche: 2024 NOV 04 22:27:45
orbit plot

Nicht-interaktives Diagramm | Interaktives Diagramm

position vs time
speed and acceleration

Plassen (PLA) cam4

gnomonic
Videos
Bilder
• Original
Textdateien
• Erkennung
• Beobachtung
• Koordinaten
• Protokoll
Helligkeit