🇳🇴 🇬🇧 🇩🇪 🇨🇿 🇫🇮

Meteor, poloha: Innbygda 2024-11-07 04:24:39 UTC

Soubor KML  |  InteraktivnĂ­ mapa

Mapa zobrazuje dráhy meteoru. Světlejší čáry ukazují směry od pozorovacích stanic při objevení se meteoru a tmavší čáry, kde byl naposledy viděn. Modrá šipka značí viditelnou dráhu meteoru.

static map
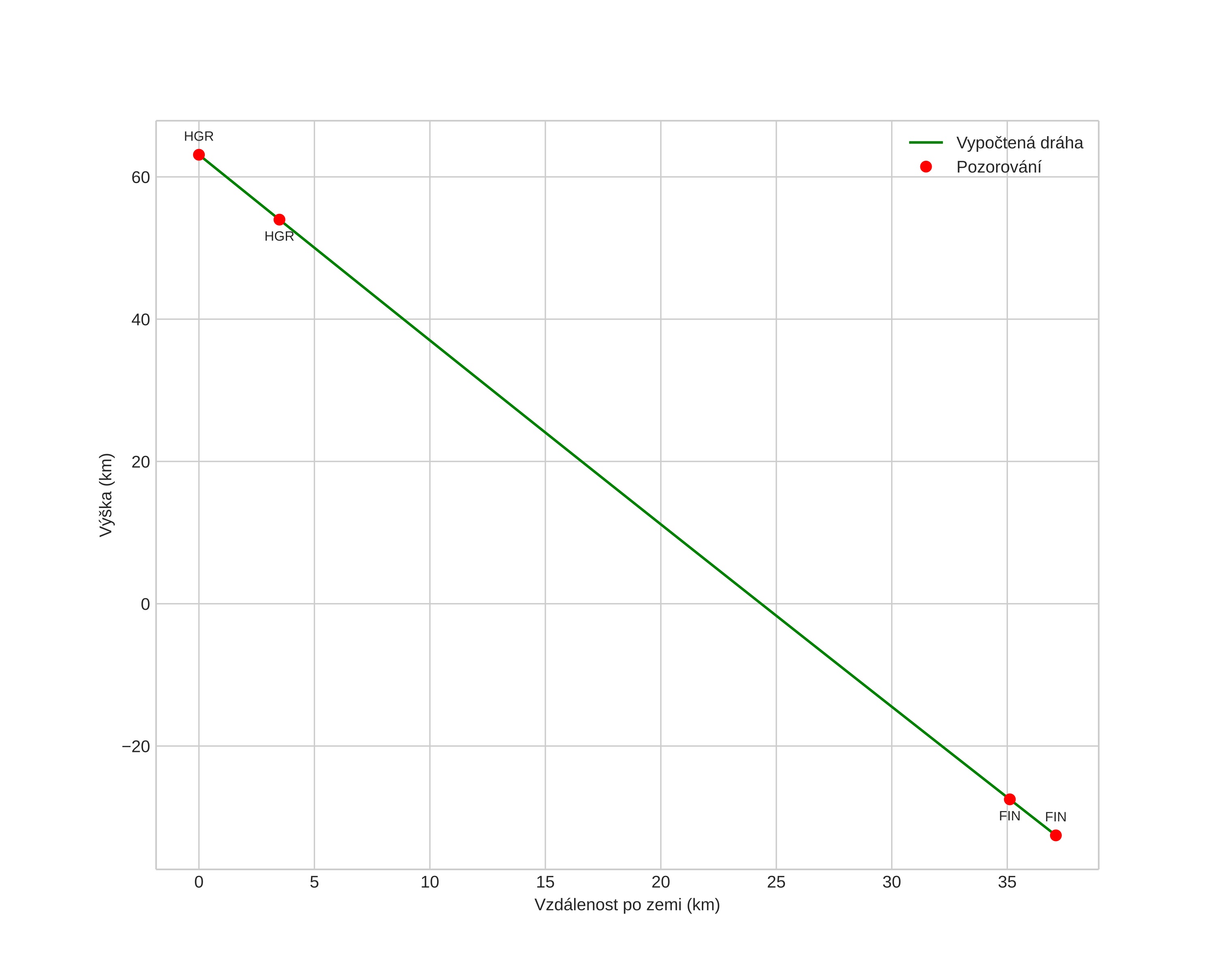
height profile
Atmosférická dráha meteoru:
Počáteční výška: 64,2 km
Konečná výška: -32,5 km
Počáteční poloha: 60,585N 12,319E
Konečná poloha: 60,847N 12,750E
Směr: 38,7°
Sklon: 68,9°
VstupnĂ­ rychlost: 41,8 km/s
Rektascenze radiantu: 07:06 (106,5°)
Deklinace radiantu: 41,9°
MeteorickĂ˝ roj: sporadickĂ˝
Elementy dráhy meteoroidu:
Vzdálenost v periheliu: 0,108 AU
Excentricita: 0,856
Sklon dráhy: 99,7°
Délka vzestupného uzlu: 224,9°
Argument perihelia: 338,8°
Střední anomálie: 293,1°
Epocha: 2024 NOV 07 04:24:39
orbit plot

NeinteraktivnĂ­ graf | InteraktivnĂ­ graf

position vs time
speed and acceleration

Finnskogen (FIN) cam6

gnomonic
Videa
Obrázky
• Původní
Textové soubory
• Detekce
• Pozorování
• Souřadnice
• Protokol
Jasnost