🇳🇴 🇬🇧 🇩🇪 🇨🇿 🇫🇮

Meteor Innbygdan yllä 2024-11-07 04:24:39 UTC

KML-tiedosto  |  Interaktiivinen kartta

Kartta näyttää meteorin suuntahavainnot. Vaaleammat viivat näyttävät suunnat havaintoasemilta meteorin ilmestyessä, ja tummemmat viivat näyttävät, missä se viimeksi nähtiin. Sininen nuoli näyttää meteorin näkyvän lennon.

static map
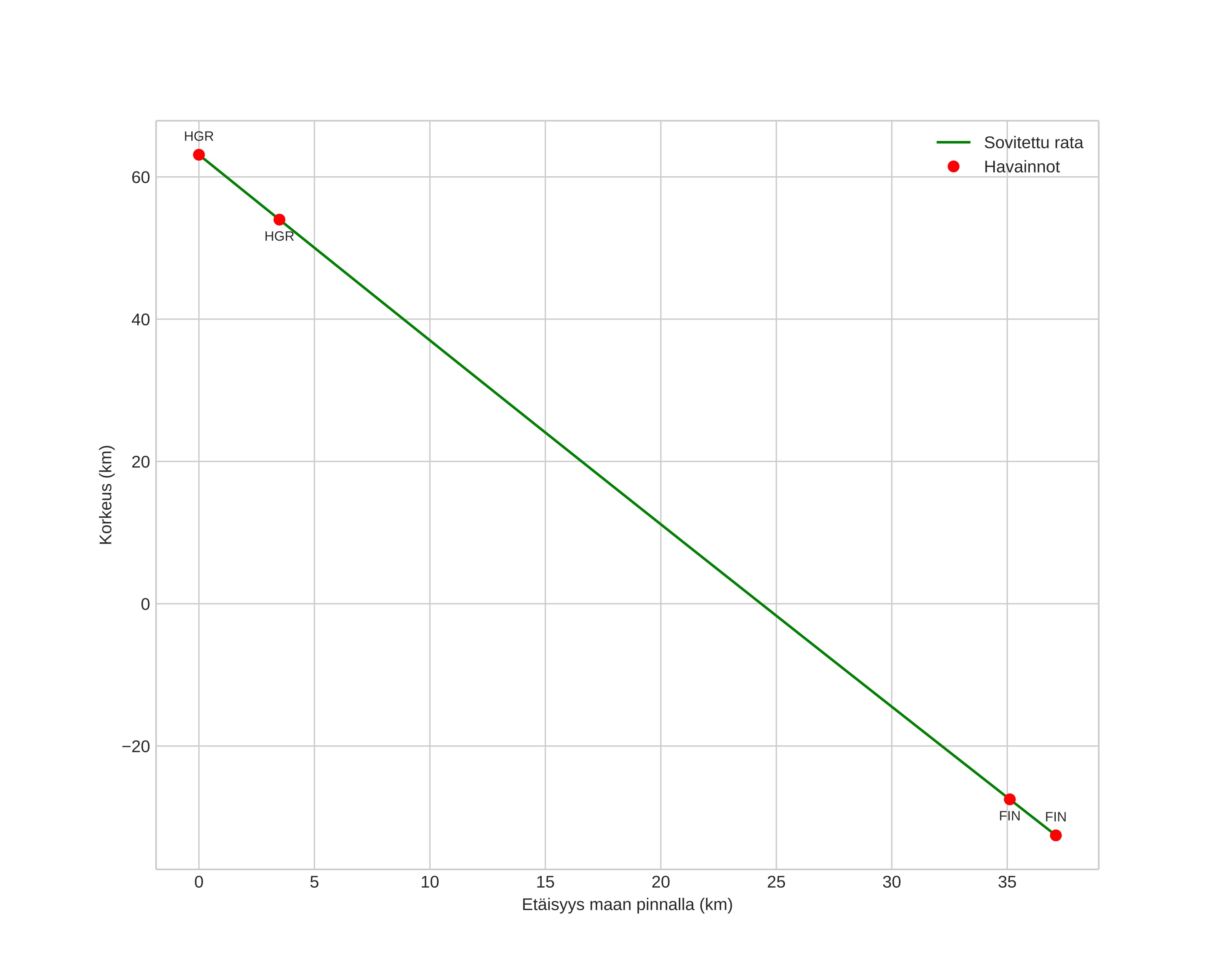
height profile
Meteorin ilmakehärata:
Alkukorkeus: 64,2 km
Loppukorkeus: -32,5 km
Alkupiste: 60,585N 12,319E
Loppupiste: 60,847N 12,750E
Suunta: 38,7°
Kallistuskulma: 68,9°
Tulonopeus: 41,8 km/s
Radiantin R,A,: 07:06 (106,5°)
Radiantin Dekl,: 41,9°
Meteoriparvi: Sporadinen
Meteoroidin rataelementit:
Perihelietäisyys: 0,108 AU
Eksentrisyys: 0,856
Inklinaatio: 99,7°
Nousevan solmun pituus: 224,9°
Perihelin argumentti: 338,8°
Keskianomalia: 293,1°
Epookki: 2024 NOV 07 04:24:39
orbit plot

Ei-interaktiivinen kuvaaja | Interaktiivinen kuvaaja

position vs time
speed and acceleration

Finnskogen (FIN) cam6

gnomonic
Videot:
Kuvat:
• Alkuperäinen
Tekstitiedostot:
• Havaintoraportti
• Observaatio
• Koordinaatit
• Loki
Kirkkaus