🇳🇴 🇬🇧 🇩🇪 🇨🇿 🇫🇮

Meteor über Innbygda 2024-11-07 04:24:39 UTC

KML-Datei  |  Interaktive Karte

Die Karte zeigt die Peilungen für den Meteor. Die helleren Linien zeigen die Richtungen von den Beobachtungsorten beim Erscheinen des Meteors, und die dunkleren Linien, wo er zuletzt gesehen wurde. Der blaue Pfeil zeigt die sichtbare Bahn des Meteors.

static map
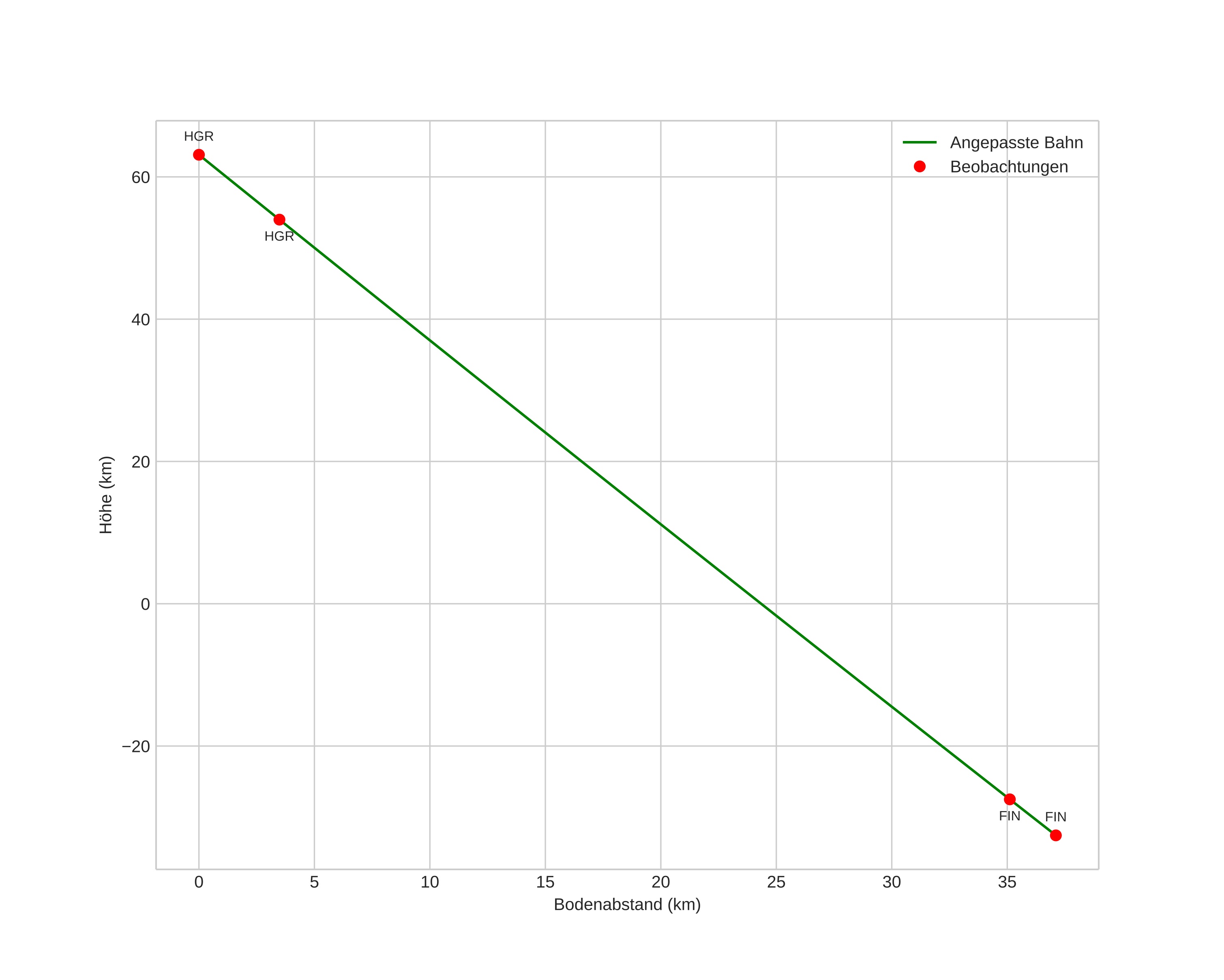
height profile
Atmosphärische Bahn des Meteors:
Anfangshöhe: 64,2 km
Endhöhe: -32,5 km
Startposition: 60,585N 12,319E
Endposition: 60,847N 12,750E
Richtung: 38,7°
Neigungswinkel: 68,9°
Eintrittsgeschwindigkeit: 41,8 km/s
Rektaszension des Radianten: 07:06 (106,5°)
Deklination des Radianten: 41,9°
Meteorstrom: sporadisch
Bahnelemente des Meteoroiden:
Periheldistanz: 0,108 AU
Exzentrizität: 0,856
Inklination: 99,7°
Länge des aufsteigenden Knotens: 224,9°
Argument des Perihels: 338,8°
Mittlere Anomalie: 293,1°
Epoche: 2024 NOV 07 04:24:39
orbit plot

Nicht-interaktives Diagramm | Interaktives Diagramm

position vs time
speed and acceleration

Finnskogen (FIN) cam6

gnomonic
Videos
Bilder
• Original
Textdateien
• Erkennung
• Beobachtung
• Koordinaten
• Protokoll
Helligkeit