🇳🇴 🇬🇧 🇩🇪 🇨🇿 🇫🇮

Meteor over Innbygda 2024-11-07 04:24:39 UTC

KML file  |  Interactive map

The map shows the bearings for the meteor. The lighter lines show the directions from the observation sites at the meteor's appearance, and the darker lines show where it was last seen. The blue arrow indicates the visible path of the meteor.

static map
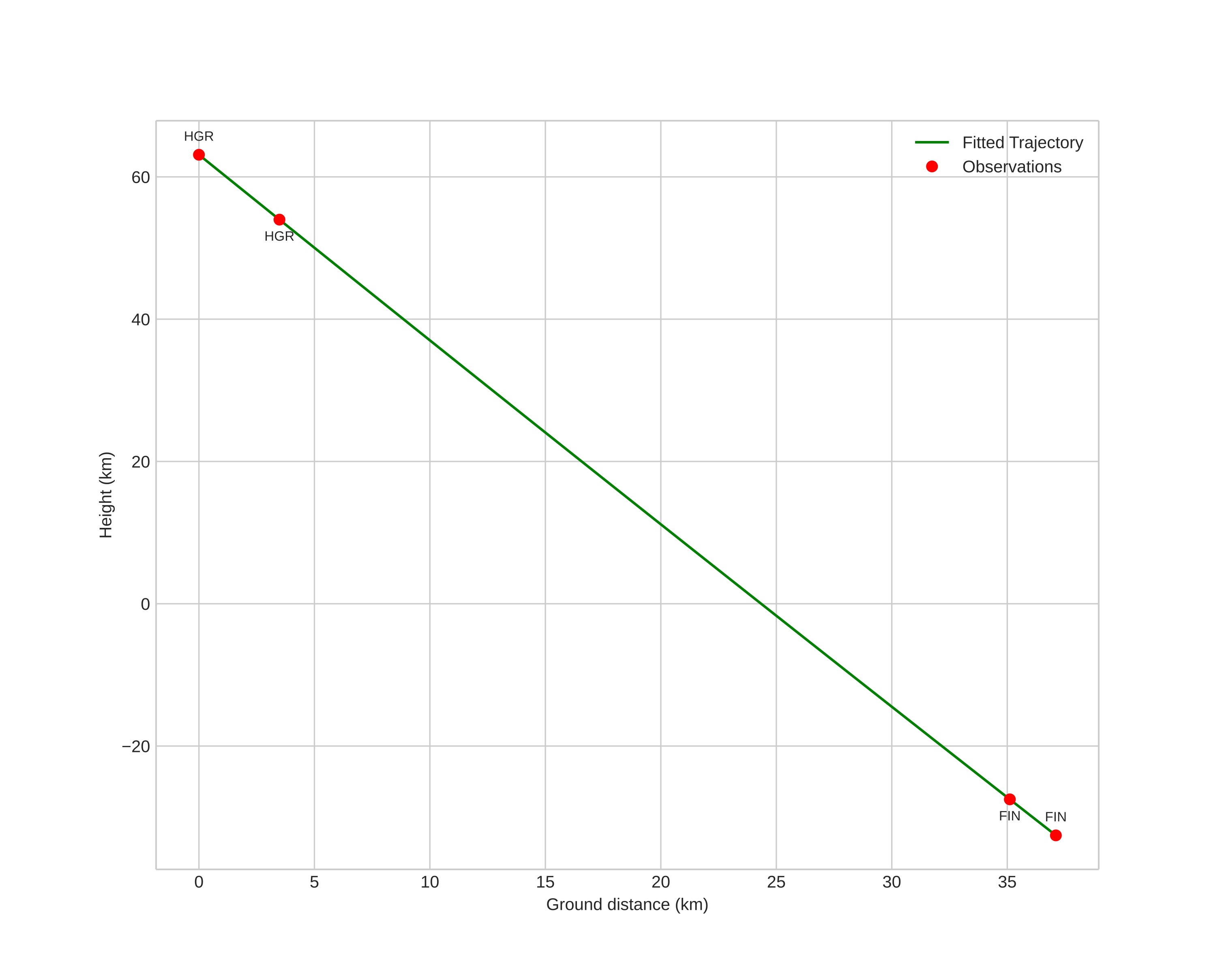
height profile
Meteor's Atmospheric Trajectory:
Start height: 64.2 km
End height: -32.5 km
Start position: 60.585N 12.319E
End position: 60.847N 12.750E
Direction: 38.7°
Inclination angle: 68.9°
Entry speed: 41.8 km/s
Radiant R.A.: 07:06 (106.5°)
Radiant Dec.: 41.9°
Meteor Shower: sporadic
Meteoroid's Orbital Elements:
Perihelion distance: 0.108 AU
Eccentricity: 0.856
Inclination: 99.7°
Long. of Asc. Node: 224.9°
Argument of Perihelion: 338.8°
Mean Anomaly: 293.1°
Epoch: 2024 NOV 07 04:24:39
orbit plot

Non-interactive plot | Interactive plot

position vs time
speed and acceleration

Finnskogen (FIN) cam6

gnomonic
Videos
Images
• Original
Text Files
• Detection
• Observation
• Coordinates
• Log
Brightness

Hagar (HGR) cam2


gnomonic
Videos
• Gnomonic
• Gnomonic with coordinates
• Original
• Original with coordinates
Images
• Gnomonic
• Gnomonic with coordinates
• Uncorrected gnomonic with coordinates
• Gnomonic with labels
• Uncorrected gnomonic with labels
• Original
• Original with coordinates
Text Files
• Detection
• Observation
• Coordinates
• Log
Brightness