🇳🇴 🇬🇧 🇩🇪 🇨🇿 🇫🇮

Meteor, poloha: Storslett 2024-12-22 01:16:10 UTC

Soubor KML  |  InteraktivnĂ­ mapa

Mapa zobrazuje dráhy meteoru. Světlejší čáry ukazují směry od pozorovacích stanic při objevení se meteoru a tmavší čáry, kde byl naposledy viděn. Modrá šipka značí viditelnou dráhu meteoru.

static map
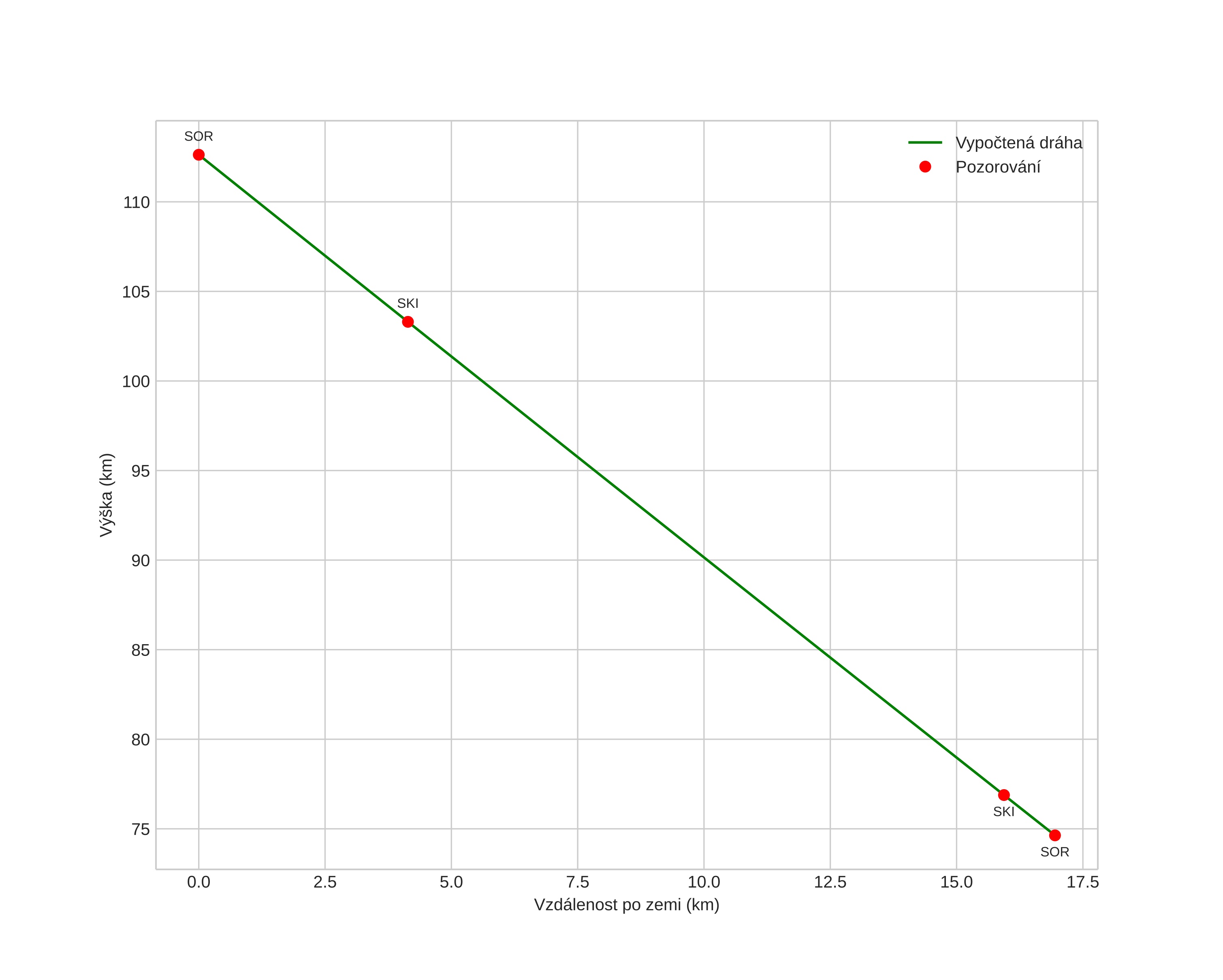
height profile
Atmosférická dráha meteoru:
Počáteční výška: 112,6 km
Konečná výška: 74,8 km
Počáteční poloha: 69,136N 21,350E
Konečná poloha: 69,017N 21,079E
Směr: 219,2°
Sklon: 65,7°
VstupnĂ­ rychlost: 39,4 km/s
Rektascenze radiantu: 14:26 (216,7°)
Deklinace radiantu: 74,9°
MeteorickĂ˝ roj: Ursidy
Elementy dráhy meteoroidu:
Vzdálenost v periheliu: 0,940 AU
Excentricita: 1,073
Sklon dráhy: 58,0°
Délka vzestupného uzlu: 270,3°
Argument perihelia: 203,9°
Střední anomálie: -0,3°
Epocha: 2024 DEC 22 01:16:10
orbit plot

NeinteraktivnĂ­ graf | InteraktivnĂ­ graf

position vs time
speed and acceleration

Skibotn (SKI) cam7

gnomonic
Videa
Obrázky
• Původní
Textové soubory
• Detekce
• Pozorování
• Souřadnice
• Protokol
Jasnost