🇳🇴 🇬🇧 🇩🇪 🇨🇿 🇫🇮

Meteor over Storslett 2024-12-22 01:16:10 UTC

KML file  |  Interactive map

The map shows the bearings for the meteor. The lighter lines show the directions from the observation sites at the meteor's appearance, and the darker lines show where it was last seen. The blue arrow indicates the visible path of the meteor.

static map
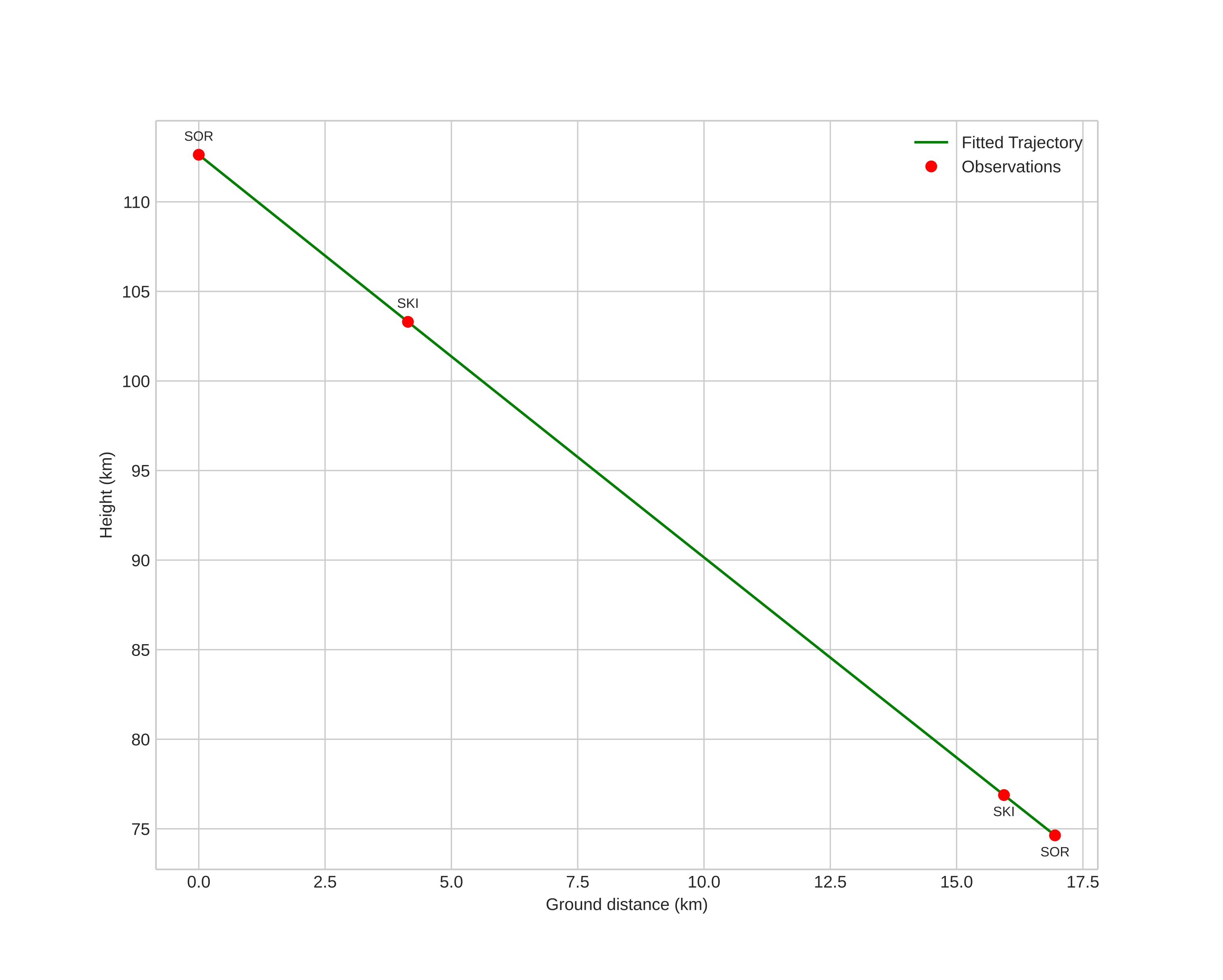
height profile
Meteor's Atmospheric Trajectory:
Start height: 112.6 km
End height: 74.8 km
Start position: 69.136N 21.350E
End position: 69.017N 21.079E
Direction: 219.2°
Inclination angle: 65.7°
Entry speed: 39.4 km/s
Radiant R.A.: 14:26 (216.7°)
Radiant Dec.: 74.9°
Meteor Shower: Ursids
Meteoroid's Orbital Elements:
Perihelion distance: 0.940 AU
Eccentricity: 1.073
Inclination: 58.0°
Long. of Asc. Node: 270.3°
Argument of Perihelion: 203.9°
Mean Anomaly: -0.3°
Epoch: 2024 DEC 22 01:16:10
orbit plot

Non-interactive plot | Interactive plot

position vs time
speed and acceleration

Skibotn (SKI) cam7

gnomonic
Videos
Images
• Original
Text Files
• Detection
• Observation
• Coordinates
• Log
Brightness

Sorreisa (SOR) cam1


gnomonic
Videos
• Gnomonic
• Gnomonic with coordinates
• Original
• Original with coordinates
Images
• Gnomonic
• Gnomonic with coordinates
• Uncorrected gnomonic with coordinates
• Gnomonic with labels
• Uncorrected gnomonic with labels
• Original
• Original with coordinates
Text Files
• Detection
• Observation
• Coordinates
• Log
Brightness