🇳🇴 🇬🇧 🇩🇪 🇨🇿 🇫🇮

Meteor Storslettin yllä 2024-12-22 01:16:10 UTC

KML-tiedosto  |  Interaktiivinen kartta

Kartta näyttää meteorin suuntahavainnot. Vaaleammat viivat näyttävät suunnat havaintoasemilta meteorin ilmestyessä, ja tummemmat viivat näyttävät, missä se viimeksi nähtiin. Sininen nuoli näyttää meteorin näkyvän lennon.

static map
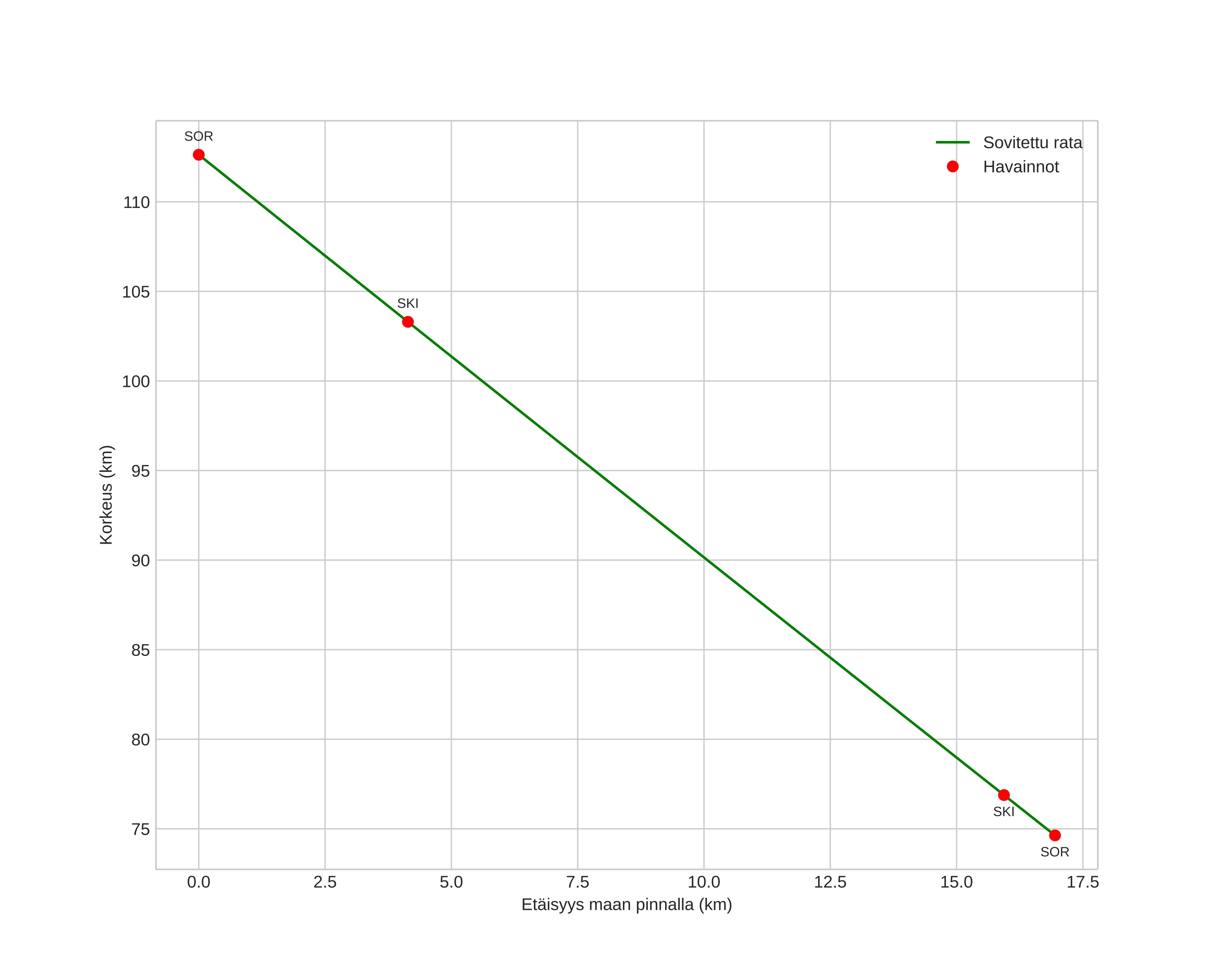
height profile
Meteorin ilmakehärata:
Alkukorkeus: 112,6 km
Loppukorkeus: 74,8 km
Alkupiste: 69,136N 21,350E
Loppupiste: 69,017N 21,079E
Suunta: 219,2°
Kallistuskulma: 65,7°
Tulonopeus: 39,4 km/s
Radiantin R,A,: 14:26 (216,7°)
Radiantin Dekl,: 74,9°
Meteoriparvi: Ursidit
Meteoroidin rataelementit:
Perihelietäisyys: 0,940 AU
Eksentrisyys: 1,073
Inklinaatio: 58,0°
Nousevan solmun pituus: 270,3°
Perihelin argumentti: 203,9°
Keskianomalia: -0,3°
Epookki: 2024 DEC 22 01:16:10
orbit plot

Ei-interaktiivinen kuvaaja | Interaktiivinen kuvaaja

position vs time
speed and acceleration

Skibotn (SKI) cam7

gnomonic
Videot:
Kuvat:
• Alkuperäinen
Tekstitiedostot:
• Havaintoraportti
• Observaatio
• Koordinaatit
• Loki
Kirkkaus