🇳🇴 🇬🇧 🇩🇪 🇨🇿 🇫🇮

Meteor über Storslett 2024-12-22 01:16:10 UTC

KML-Datei  |  Interaktive Karte

Die Karte zeigt die Peilungen für den Meteor. Die helleren Linien zeigen die Richtungen von den Beobachtungsorten beim Erscheinen des Meteors, und die dunkleren Linien, wo er zuletzt gesehen wurde. Der blaue Pfeil zeigt die sichtbare Bahn des Meteors.

static map
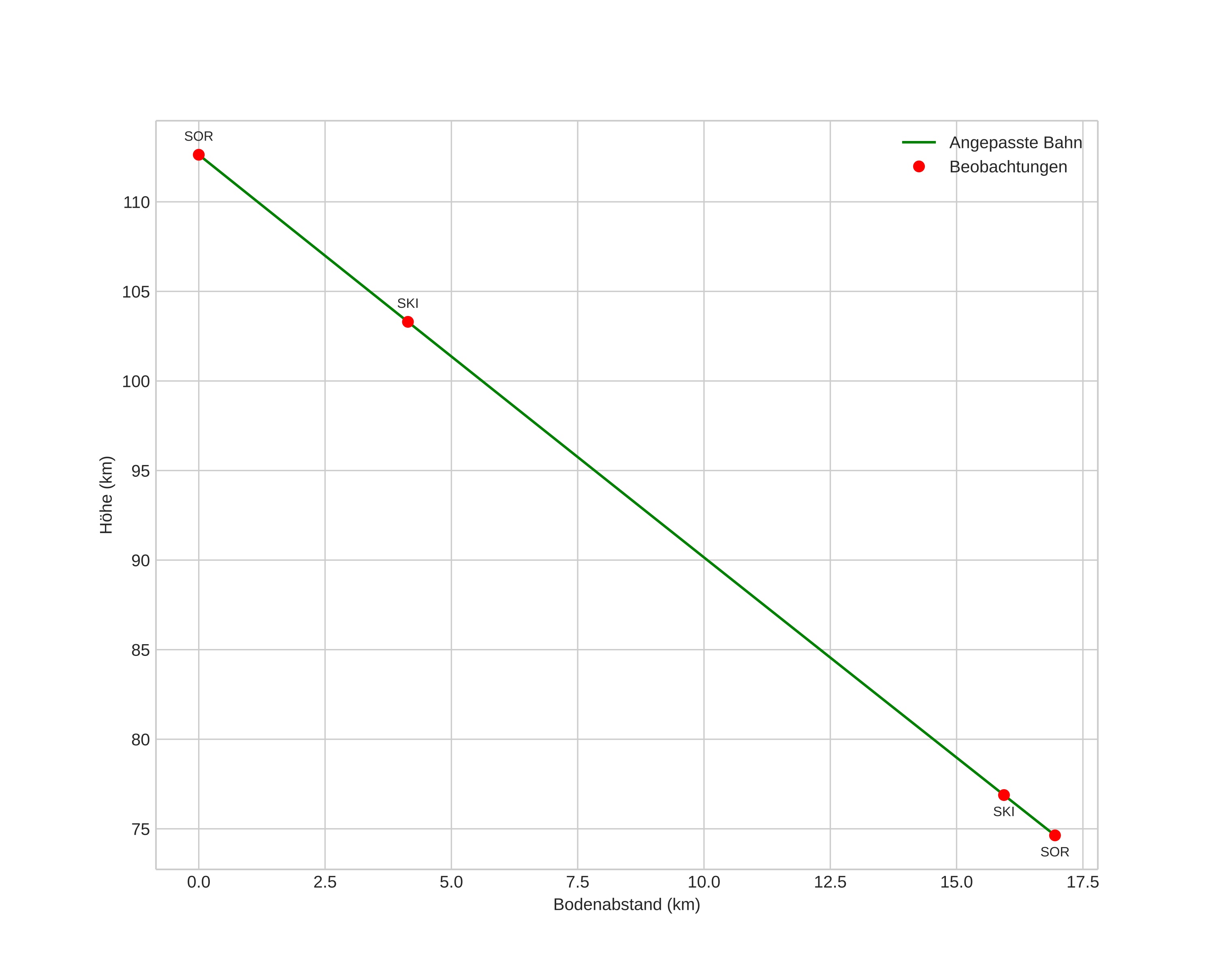
height profile
Atmosphärische Bahn des Meteors:
Anfangshöhe: 112,6 km
Endhöhe: 74,8 km
Startposition: 69,136N 21,350E
Endposition: 69,017N 21,079E
Richtung: 219,2°
Neigungswinkel: 65,7°
Eintrittsgeschwindigkeit: 39,4 km/s
Rektaszension des Radianten: 14:26 (216,7°)
Deklination des Radianten: 74,9°
Meteorstrom: Ursiden
Bahnelemente des Meteoroiden:
Periheldistanz: 0,940 AU
Exzentrizität: 1,073
Inklination: 58,0°
Länge des aufsteigenden Knotens: 270,3°
Argument des Perihels: 203,9°
Mittlere Anomalie: -0,3°
Epoche: 2024 DEC 22 01:16:10
orbit plot

Nicht-interaktives Diagramm | Interaktives Diagramm

position vs time
speed and acceleration

Skibotn (SKI) cam7

gnomonic
Videos
Bilder
• Original
Textdateien
• Erkennung
• Beobachtung
• Koordinaten
• Protokoll
Helligkeit